Последнее обновление :
27/04/2026
Разное   Baclofen  
Мази
Инъекция Раствор для перорального приёма
Стабильность фармацевтических препаратов Стабильность смесей Факторы, которые влияют на стабильность Совместимость Библиография pdf
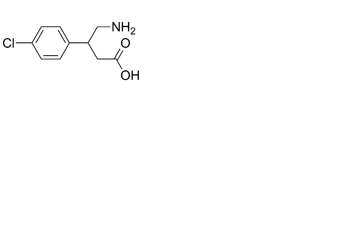
   Химическая структура  

Мази
Стабильность смесей   Мази   Стабильность смесей : Baclofen     
Упаковка Наполнитель Молекула Температура Хранение Продолжительность стабильности Ссылки
Не указано
Пропиленгликоль
Lipoderm® >> 100 g
Мази   Baclofen Порошок5 g  ® = ?
Мази   Ketoprofene Порошок5 g  ® = ?
25°C
120 День
Защищён от света 3971
Не указано
Пропиленгликоль >>
Lipobase® >> 100 g
Мази   Baclofen Порошок5 g  ® = ?
Мази   Ketoprofene Порошок5 g  ® = ?
25°C
120 День
Защищён от света 3971

  Mentions Légales