Последно актуализиране :
27/04/2026
Други   Baclofen  
Унгвент/Унгвенти
Инжекция/Инжекционен Орален разтвор
Стабилност на лекарствени препарати Стабилност на смеси Фактори, повлияващи стабилността Съвместимост Библиография Pdf
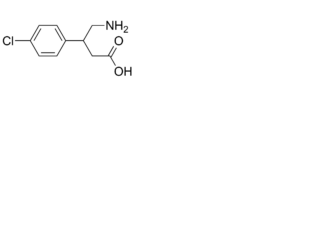
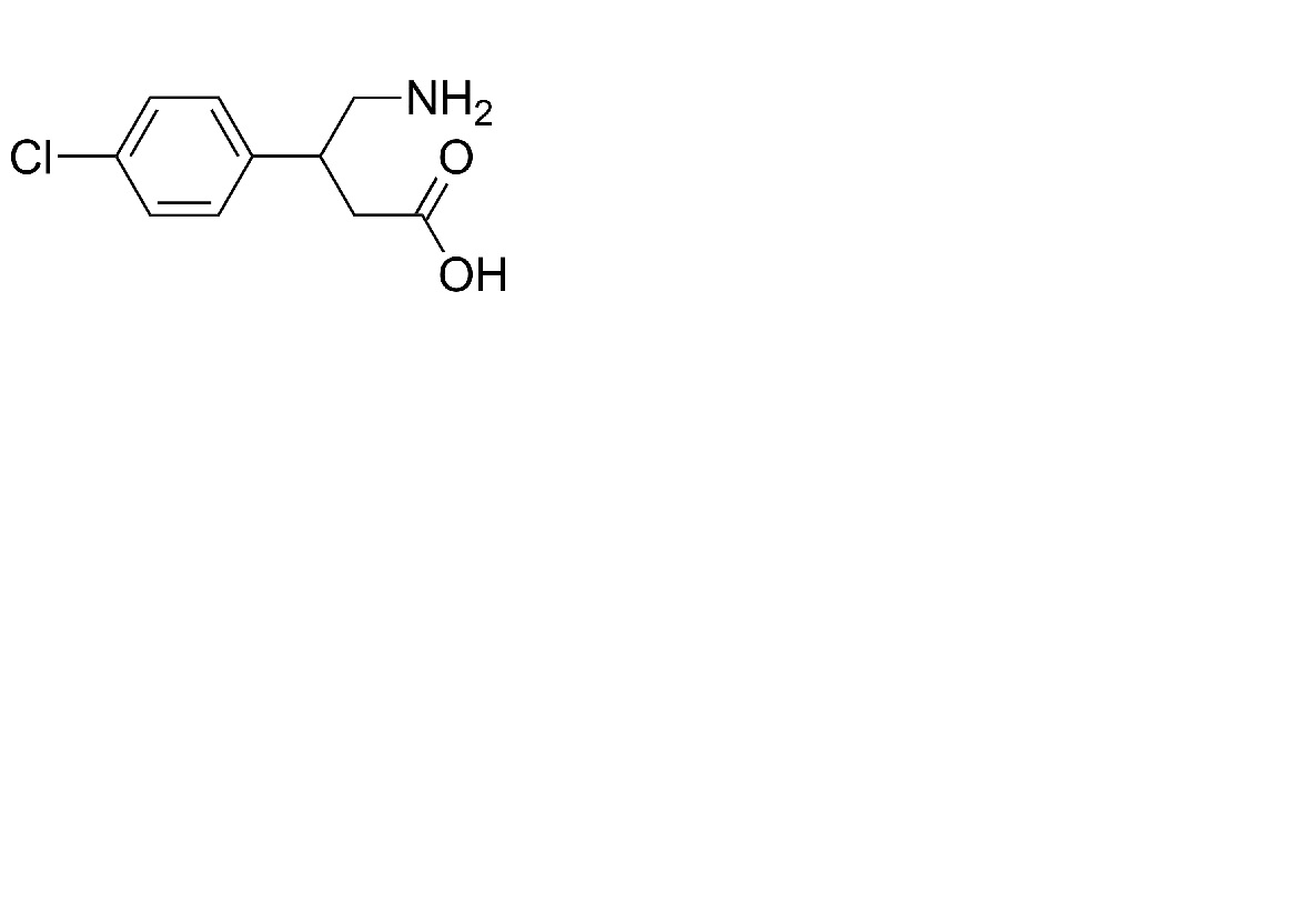
   Химична структура  

Унгвент/Унгвенти
Стабилност на смеси   Унгвент/Унгвенти   Стабилност на смеси : Baclofen     
Контейнер Помощно вещество Състав / молекула Температура Съхранение Продължителност на стабилността Библиография
Не е уточнено
Пропилен гликол
Lipoderm® >> 100 g
Унгвент/Унгвенти   Baclofen Прах5 g  ® = ?
Унгвент/Унгвенти   Ketoprofene Прах5 g  ® = ?
25°C
120 Ден
Защита от светлина 3971
Не е уточнено
Пропилен гликол >>
Lipobase® >> 100 g
Унгвент/Унгвенти   Baclofen Прах5 g  ® = ?
Унгвент/Унгвенти   Ketoprofene Прах5 g  ® = ?
25°C
120 Ден
Защита от светлина 3971

  Mentions Légales