Viimeisin päivitys :
27/04/2026
Muut   Baclofen  
Salvat
Injektioneste Oraaliliuos
Vakaus lääkevalmisteen Stabilius seoksissa Tekijät, jotka vaikuttavat stabiliuteen Yhteensopivuus Viitteet pdf
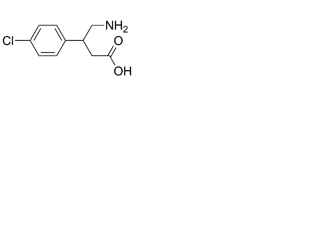
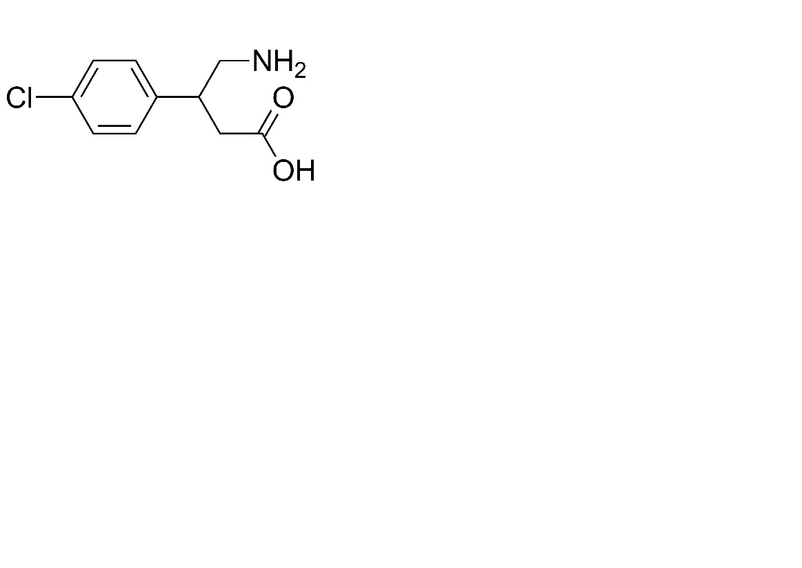
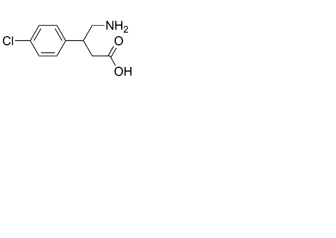
   Kemiallinen rakenne  

Salvat
Stabilius seoksissa   Salvat   Stabilius seoksissa : Baclofen     
Astia Apuaine Yhdiste Lämpötila Säilytys Vakauden kesto Viitteet
Ei määritetty
Propyleeniglykoli
Lipoderm® >> 100 g
Salvat   Baclofen Jauhe5 g  ® = ?
Salvat   Ketoprofene Jauhe5 g  ® = ?
25°C
120 Päivä
Suojattava valolta 3971
Ei määritetty
Propyleeniglykoli >>
Lipobase® >> 100 g
Salvat   Baclofen Jauhe5 g  ® = ?
Salvat   Ketoprofene Jauhe5 g  ® = ?
25°C
120 Päivä
Suojattava valolta 3971

  Mentions Légales