Posledná aktualizácia :
27/04/2026
rôzne   Baclofen  
Dermálny prípravok
Injekcia Perorálny roztok
Stabilita farmaceutických prípravkov Stabilita v zmesiach Faktory ovplyvňujúce stabilitu Kompatibility Odkazy na literatúru PDF
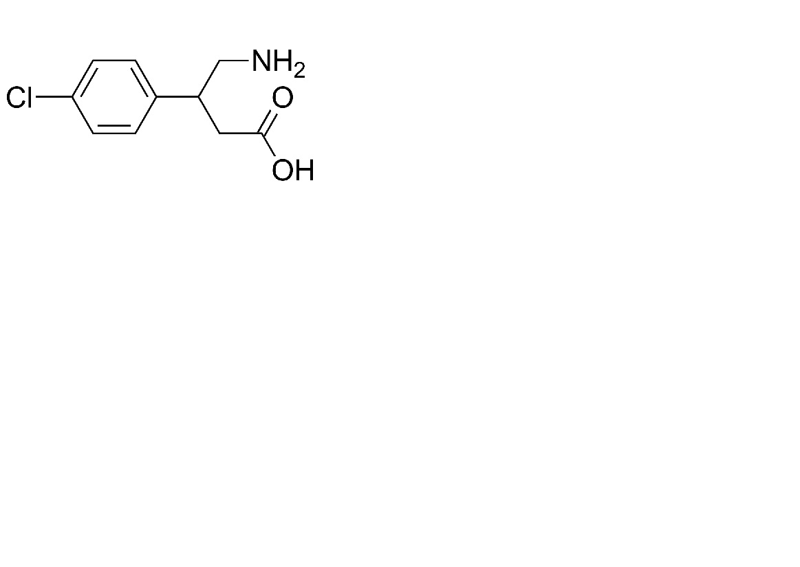
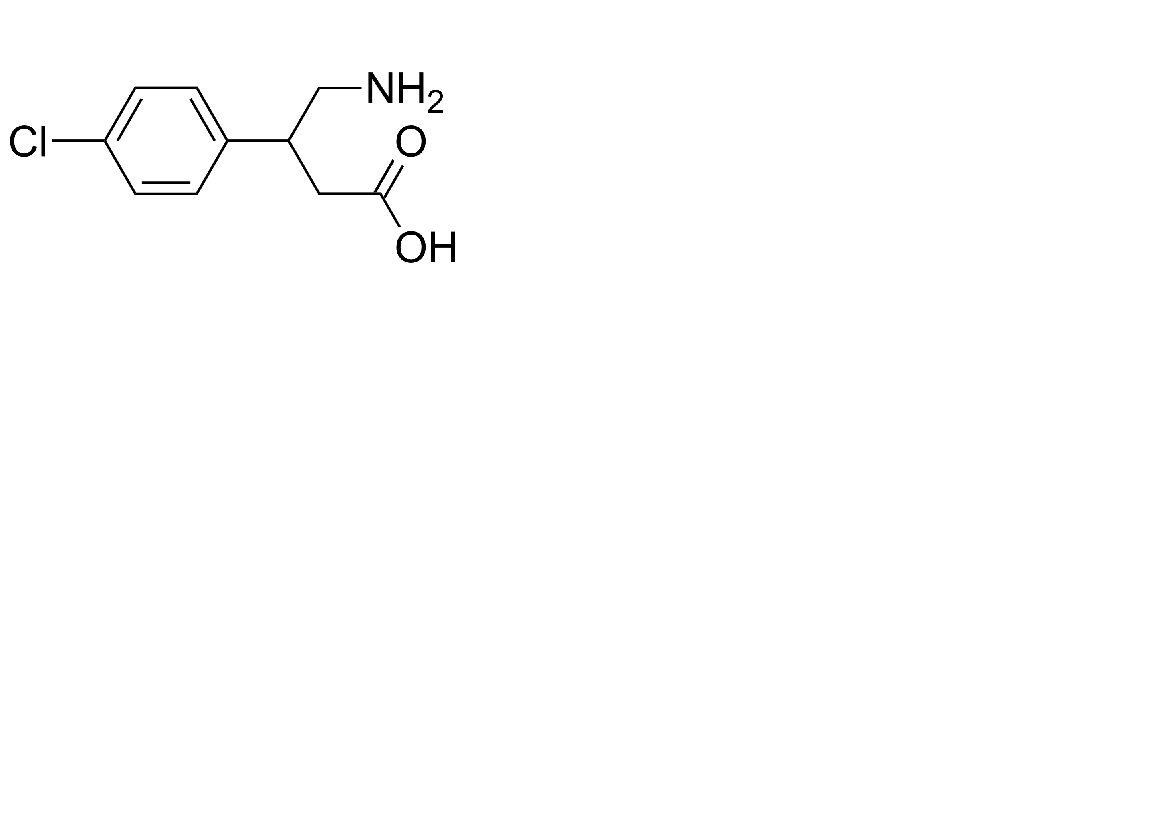
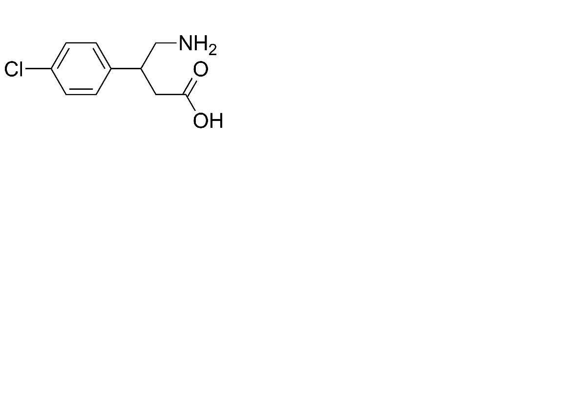
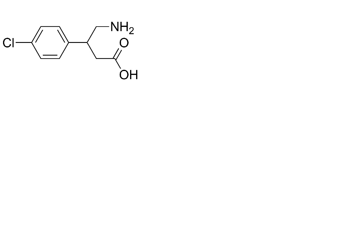
   Chemický vzorec  

Dermálny prípravok
Stabilita v zmesiach   Dermálny prípravok   Stabilita v zmesiach : Baclofen     
obal Pomocná látka Zlúčenina teplota uchovávanie Trvanie stability odkazy na lieteratúru
nešpecifikované
Propylénglykol
Lipoderm® >> 100 g
Dermálny prípravok   Baclofen Prášok5 g  ® = ?
Dermálny prípravok   Ketoprofene Prášok5 g  ® = ?
25°C
120 dní
Chránené pred svetlom 3971
nešpecifikované
Propylénglykol >>
Lipobase® >> 100 g
Dermálny prípravok   Baclofen Prášok5 g  ® = ?
Dermálny prípravok   Ketoprofene Prášok5 g  ® = ?
25°C
120 dní
Chránené pred svetlom 3971

  Mentions Légales