Останнє оновлення :
27/04/2026
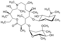
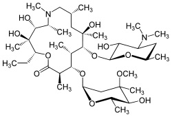
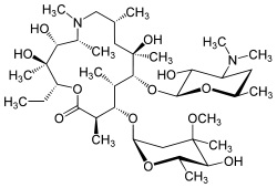
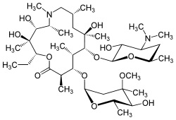
Антибіотик   Azithromycine  
Мазі
ін'єкція
Стабільність фармацевтичних препаратів Стійкість сумішей Фактори, що впливають на стабільність Сумісність Список літератури pdf
   Хімічна структура  

Мазі
Сумісність   Мазі   Сумісність : Azithromycine              
7 / 5 000 Résultats de traduction Немає даних

  Mentions Légales