Τελευταία ενημέρωση :
27/04/2026
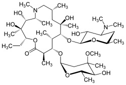
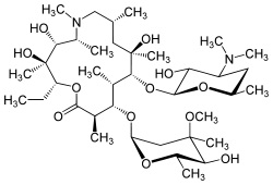
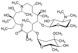
Αντιβιοτικό   Azithromycine  
Αλοιφές
Ενέσιμο
Σταθερότητα και συμβατότητα των φαρμάκων Σταθερότητα σε μίγματα Παράγοντας που επηρεάζει τη σταθερότητα Συμβατότητες Βιβλιογραφία pdf
   χημική δομή  

Αλοιφές
Συμβατότητες    Αλοιφές   Συμβατότητες : Azithromycine              
Δεν υπάρχουν πληροφορίες

  Mentions Légales