Poslední aktualizace :
27/04/2026
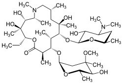
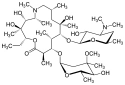
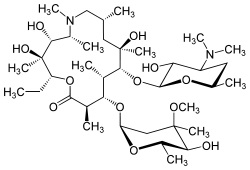
Antibiotikum   Azithromycine  
Masti
injekce
Stabilita farmaceutických přípravků Stabilita směsí Faktory ovlivňující stabilitu Kompatibilita Odkazy pdf
   Chemický vzorec  

Masti
Kompatibilita   Masti   Kompatibilita : Azithromycine              
žádná data

  Mentions Légales