Pēdējā atjaunošana :
27/04/2026
Antibiotika   Azithromycine  
Ziedes
Injekcija
Stabilitāte farmaceitisko preparātu Maisījuma stabilitāte Stabilitāti ietekmējoši faktori Saderība Literatūras saraksts pdf
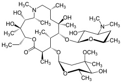
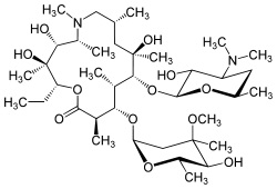
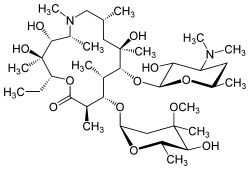
   Ķīmiskā uzbūve   

Ziedes
Saderība   Ziedes   Saderība : Azithromycine              
Nav datu

  Mentions Légales