viimane versioon :
27/04/2026
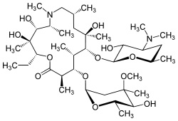
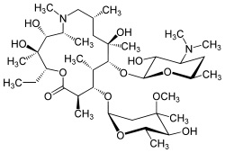
antibiootikum   Azithromycine  
salv
Süsteravim
Stabiilsust ravimpreparaadid Stabiilsust mõjutavad tegurid stabiilsust mõjutavad faktorid Sobimatus Viited pdf
   keemiline struktuur  

salv
Sobimatus   salv   Sobimatus : Azithromycine              
andmed puuduvad

  Mentions Légales