Последно актуализиране :
27/04/2026
Антибиотик   Azithromycine  
Унгвент/Унгвенти
Инжекция/Инжекционен
Стабилност на лекарствени препарати Стабилност на смеси Фактори, повлияващи стабилността Съвместимост Библиография Pdf
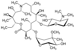
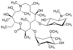
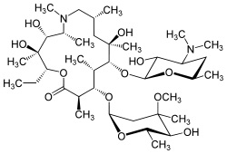
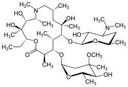
   Химична структура  

Унгвент/Унгвенти
Съвместимост   Унгвент/Унгвенти   Съвместимост : Azithromycine              
Няма данни

  Mentions Légales