Son güncelleme :
27/04/2026
Antibiyotik   Azithromycine  
Merhem
Enjeksiyon
Farmasötik preparatlar Kararlılığı Karışımlardaki stabilitesi Stabiliteyi etkileyen faktörler Uyumluluk Kaynaklar pdf
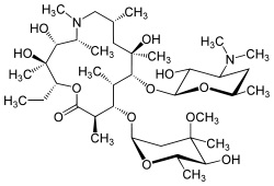
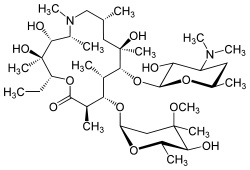
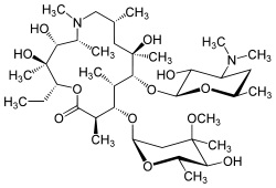
   Kimyasal yapı   

Merhem
Uyumluluk   Merhem   Uyumluluk : Azithromycine              
veri yok

  Mentions Légales