Cập nhật lần cuối :
27/01/2026
Kháng sinh   Azithromycine  
Dạng bôi da
Dạng tiêm
Tính ổn định của các chế phẩm Độ ổn định khi trộn lẫn Những yếu tố ảnh hưởng đến độ ổn định Khả năng tương thích Tài liệu tham khảo Pdf
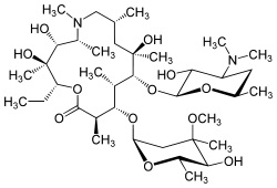
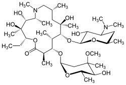
   Cấu trúc hóa học  

Dạng bôi da

Những yếu tố ảnh hưởng đến độ ổn định   Dạng bôi da   Những yếu tố ảnh hưởng đến độ ổn định : Azithromycine        
Không có dữ liệu

  Mentions Légales