最新更新 :
27/04/2026
抗菌薬   Azithromycine  
軟膏薬
注射薬
調剤時の安定性 混合時の安定性 安定性に影響する因子 互換性 引用文献 PDF
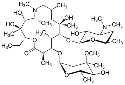
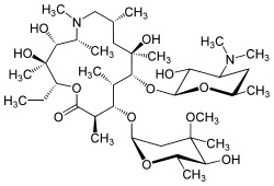
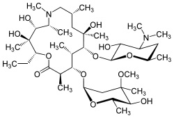
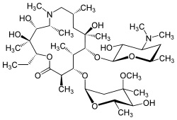
   化学構造  

軟膏薬
互換性   軟膏薬   互換性 : Azithromycine              
データなし

  Mentions Légales