Siste oppdatering :
27/04/2026
Antibiotika   Azithromycine  
Salver
Injeksjon
Stabilitet av farmasøytiske preparater Stabilitet i blandinger Faktorer som påvirker stabiliteten Kompatibilitet Referanser pdf
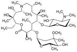
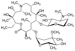
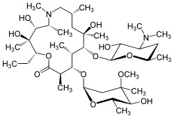
   Kjemisk struktur  

Salver
Kompatibilitet   Salver   Kompatibilitet : Azithromycine              
Ingen opplysninger

  Mentions Légales