Laatste update :
27/01/2026
Antibioticum   Azithromycine  
zalf
injecteerbaar geneesmiddel
Stabiliteit van farmaceutische preparaten Stabiliteit in mengsels Factoren die de stabiliteit beïnvloeden Verenigbaarheden Literatuur pdf
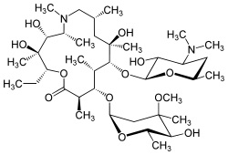
   Molecuulstructuur  

zalf
Verenigbaarheden   zalf   Verenigbaarheden : Azithromycine              
geen gegevens

  Mentions Légales