Zadnji put ažurirano :
27/04/2026
antibiotik   Azithromycine  
masti
injekcija
Stabilnost farmaceutskih pripravaka Stabilnost mješavine Stabilizacijski faktor Kompatibilnosti Bibliografija pdf
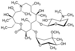
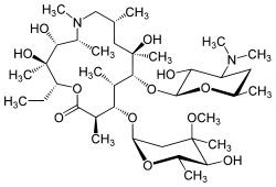
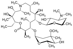
   Kemijska struktura  

masti
Kompatibilnosti   masti   Kompatibilnosti : Azithromycine              
bez podataka

  Mentions Légales