Seneste opdatering :
27/04/2026
Antibiotisk   Azithromycine  
Salver
Injektion
Stabilitet af farmaceutiske tilberedninger Stabilitet i blandinger Faktorer der påvirker stabiliteten Kompatibilitet Bibliografi pdf
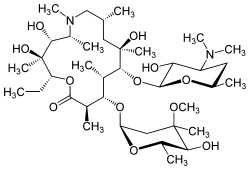
   Kemisk struktur  

Salver
Kompatibilitet   Salver   Kompatibilitet : Azithromycine              
Ingen data

  Mentions Légales