آخر تحديث :
27/04/2026
مضاد حيوي   Azithromycine  
المراهم
حقن
استقرار المستحضرات الصيدلانية استقرار مخاليط العوامل التي تؤثر على الاستقرار التوافق مراجع pdf
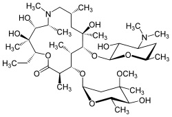
   التركيب الكيميائي  

المراهم
التوافق   المراهم   التوافق : Azithromycine              
لا توجد بيانات

  Mentions Légales