Poslední aktualizace :
27/04/2026
Antibiotikas   Azithromycine  
Tepalai
Įpurškimas
Stabilumas farmacinių preparatų Mišinių stabilumas Stabilumą lemiantys veiksniai Suderinamumas Bibliografija pdf
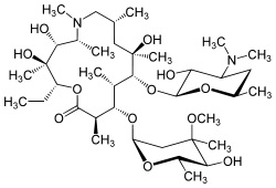
   Cheminė sandara  

Tepalai
Suderinamumas   Tepalai   Suderinamumas : Azithromycine              
Nėra duomenų

  Mentions Légales