Viimeisin päivitys :
27/04/2026
Antibiootit   Azithromycine  
Salvat
Injektioneste
Vakaus lääkevalmisteen Stabilius seoksissa Tekijät, jotka vaikuttavat stabiliuteen Yhteensopivuus Viitteet pdf
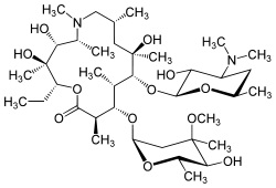
   Kemiallinen rakenne  

Salvat
Yhteensopivuus   Salvat   Yhteensopivuus : Azithromycine              
ei tietoa

  Mentions Légales