Last update :
27/04/2026
Antibiotic   Azithromycine  
Ointments
injection
Stability of pharmaceutical preparations Stability of mixtures Factors which affect stability Compatibility References pdf
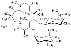
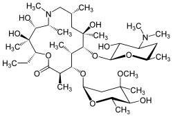
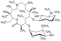
   Chemical structure  

Ointments
Compatibility   Ointments   Compatibility : Azithromycine              
No data

  Mentions Légales