Senaste uppdateringen :
27/01/2026
Antimykotikum   Amphotericin B  
Munvatten
Aerosol injektion ögondroppar Oral lösning
Stabilitet av läkemedel Stabilitet i blandningar Faktorer som påverkar stabiliteten Kompatibilitet Hänvisningar pdf
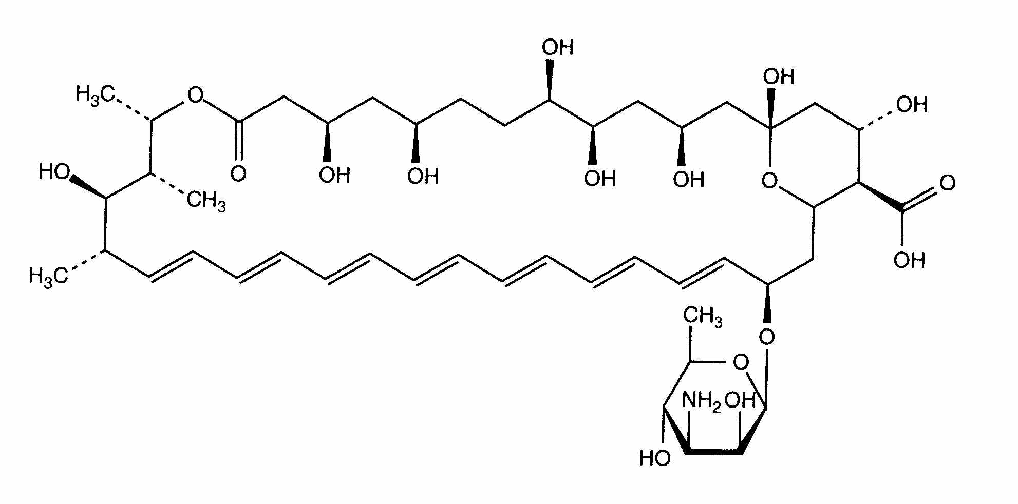
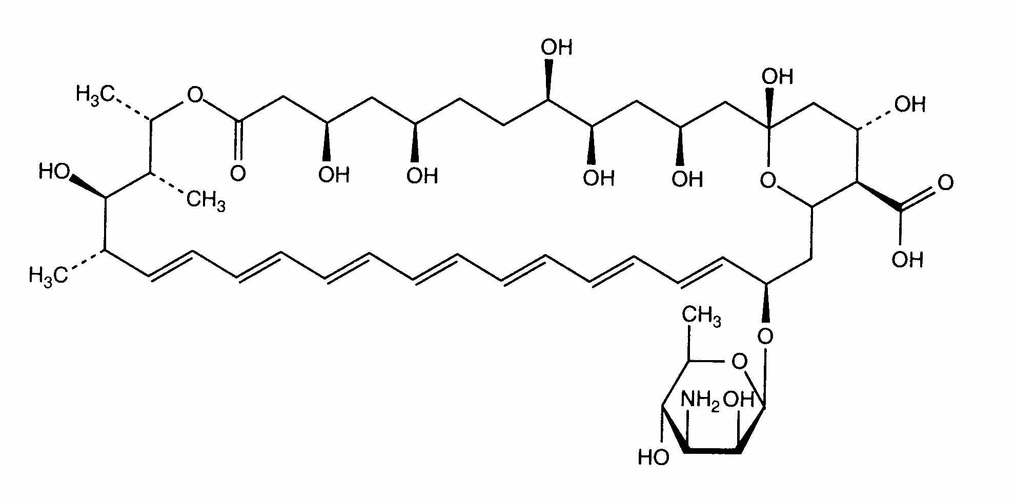
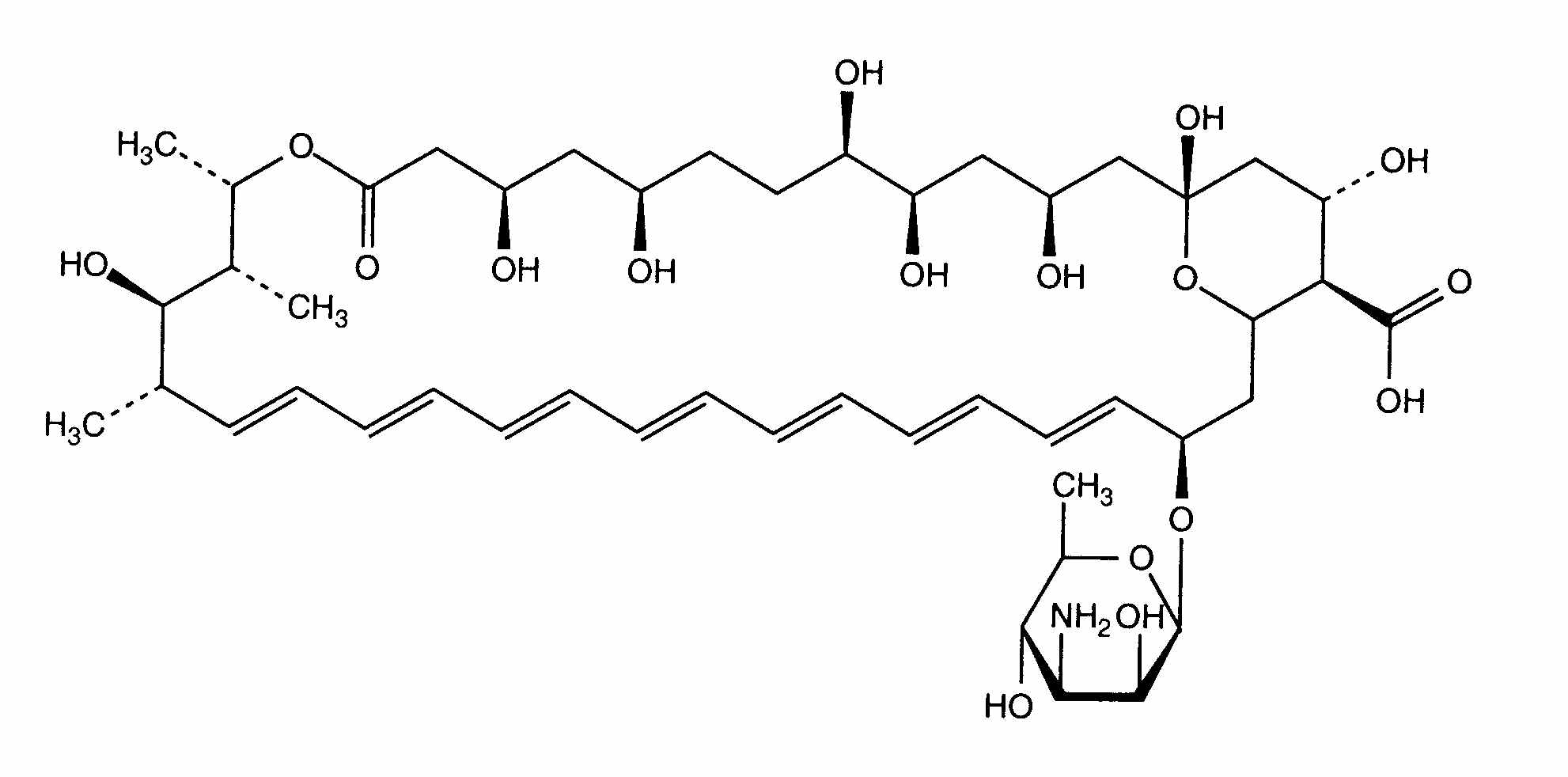
   Molekylstruktur  

Munvatten
Kompatibilitet   Munvatten   Kompatibilitet : Amphotericin B              
Ingen uppgift

  Mentions Légales