Poslední aktualizace :
27/04/2026
Protiplísňový přípravek   Amphotericin B  
kloktadlo
Aerosol Humbuk injekce Perorální roztok
Stabilita farmaceutických přípravků Stabilita směsí Faktory ovlivňující stabilitu Kompatibilita Odkazy pdf
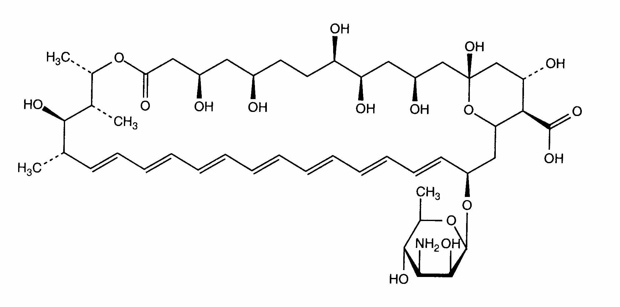
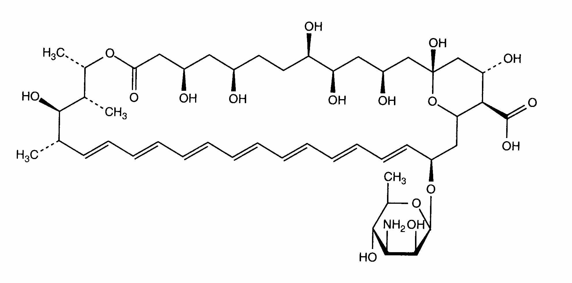
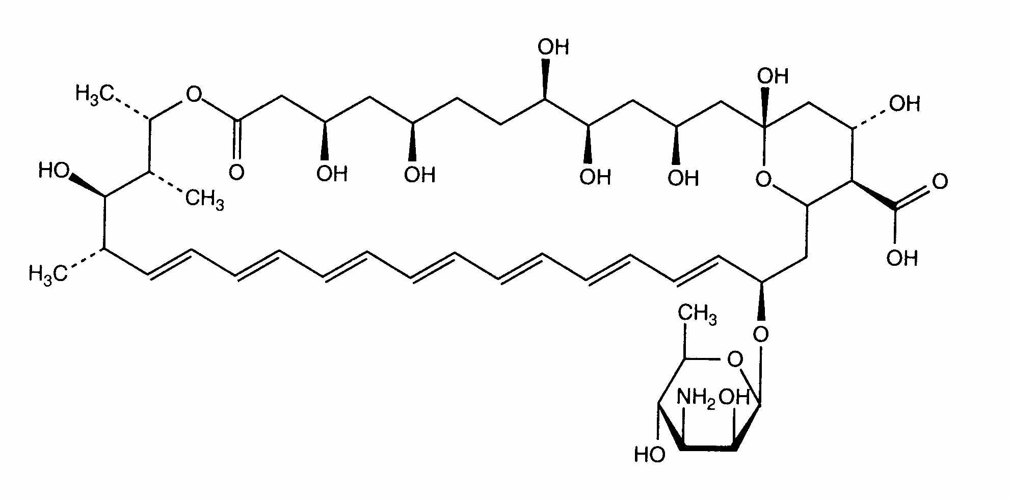
   Chemický vzorec  

kloktadlo
Kompatibilita   kloktadlo   Kompatibilita : Amphotericin B              
žádná data

  Mentions Légales