Viimeisin päivitys :
27/04/2026
Sienilääkkeet   Amphotericin B  
Suuvesi
Aerosoli Injektioneste Oraaliliuos Silmätipat
Vakaus lääkevalmisteen Stabilius seoksissa Tekijät, jotka vaikuttavat stabiliuteen Yhteensopivuus Viitteet pdf
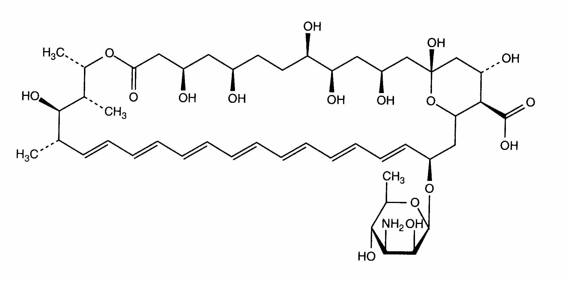
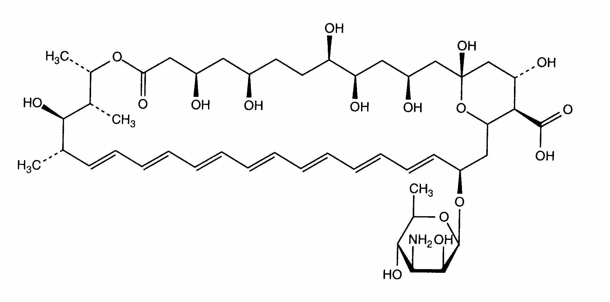
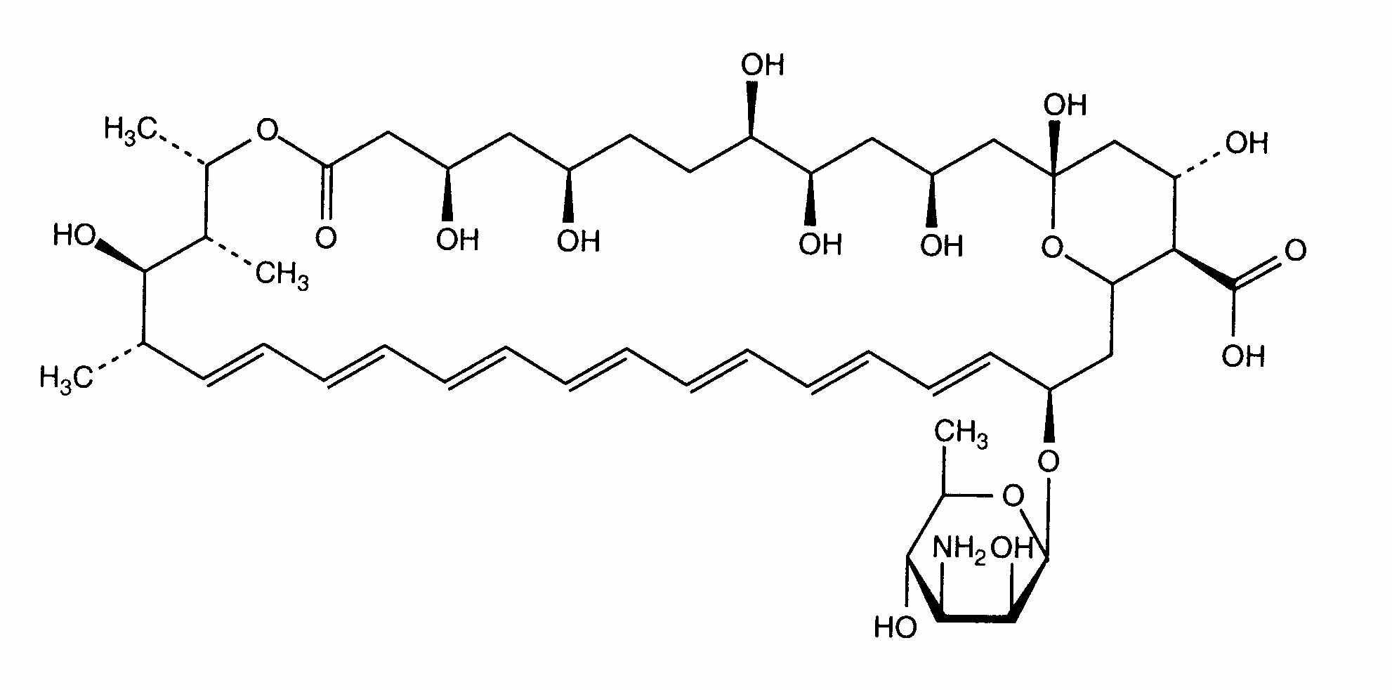
   Kemiallinen rakenne  

Suuvesi
Yhteensopivuus   Suuvesi   Yhteensopivuus : Amphotericin B              
ei tietoa

  Mentions Légales