Posledná aktualizácia :
27/04/2026
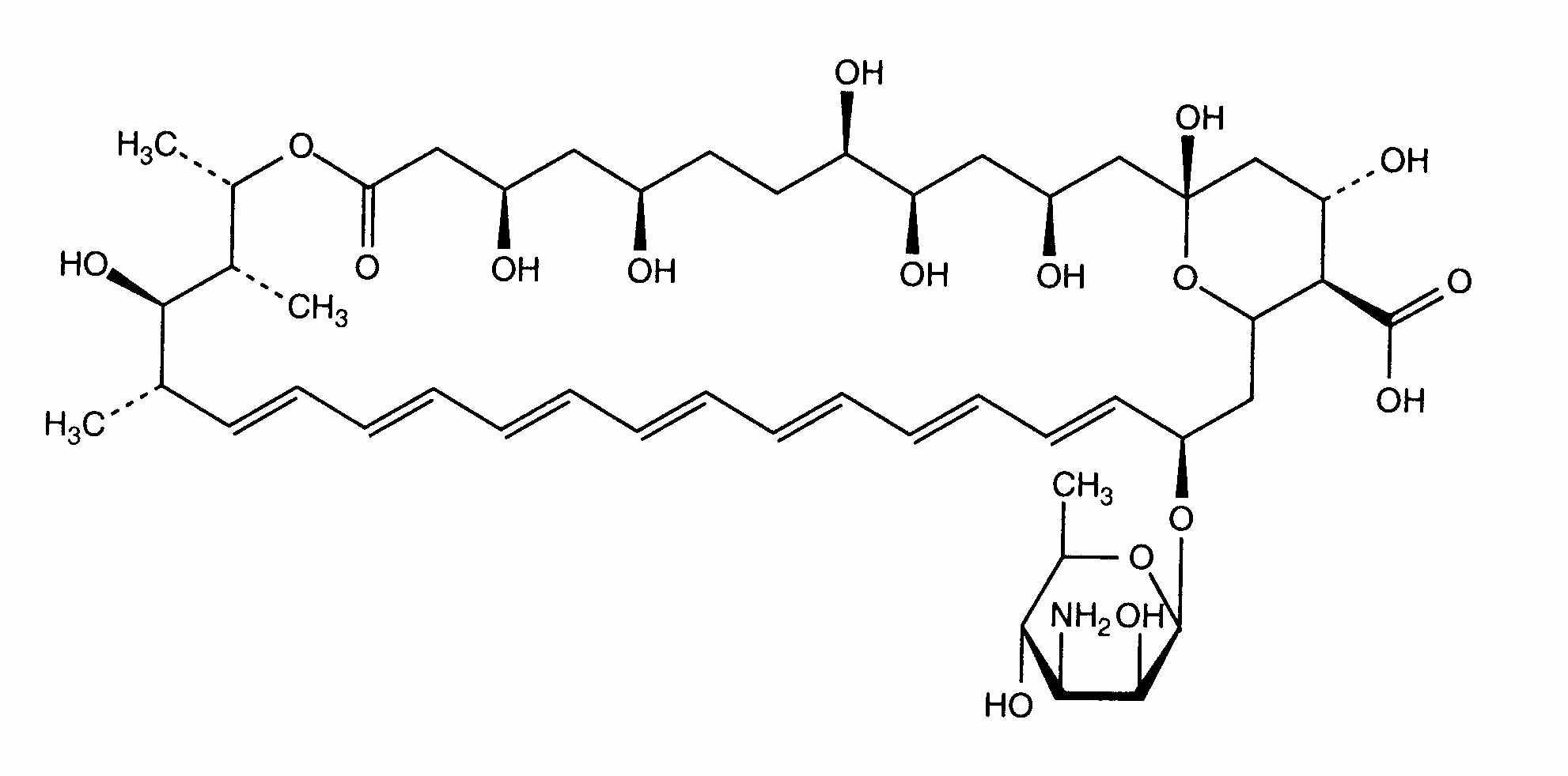
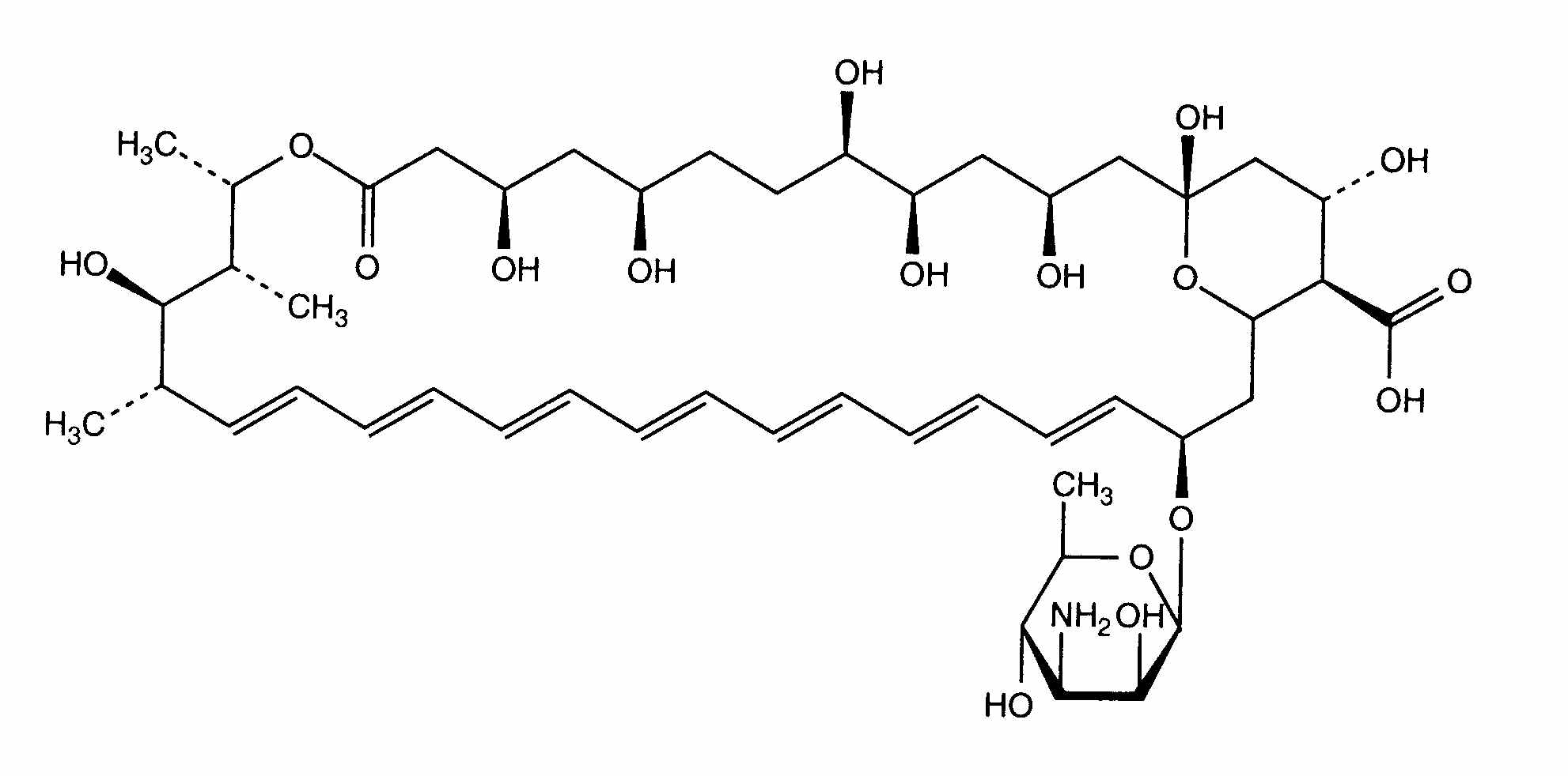
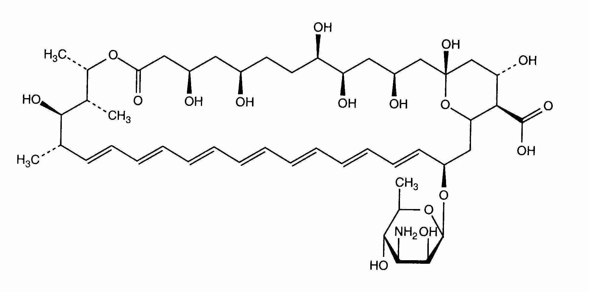
antimykotikum   Amphotericin B  
Kloktadlo
Aerosól Injekcia Očná instilácia Perorálny roztok
Stabilita farmaceutických prípravkov Stabilita v zmesiach Faktory ovplyvňujúce stabilitu Kompatibility Odkazy na literatúru PDF
   Chemický vzorec  

Kloktadlo
Kompatibility   Kloktadlo   Kompatibility : Amphotericin B              
žiadne údaje

  Mentions Légales