Última actualización :
27/04/2026
Antifúngico   Amphotericin B  
Enjuagues bucales
Aerosol Gotas oculares Inyectables Solución Oral
La estabilidad de las preparaciones farmacéuticas Estabilidad en mezcla Factores que influyen sobre la estabilidad Compatibilidades Bibliografía pdf
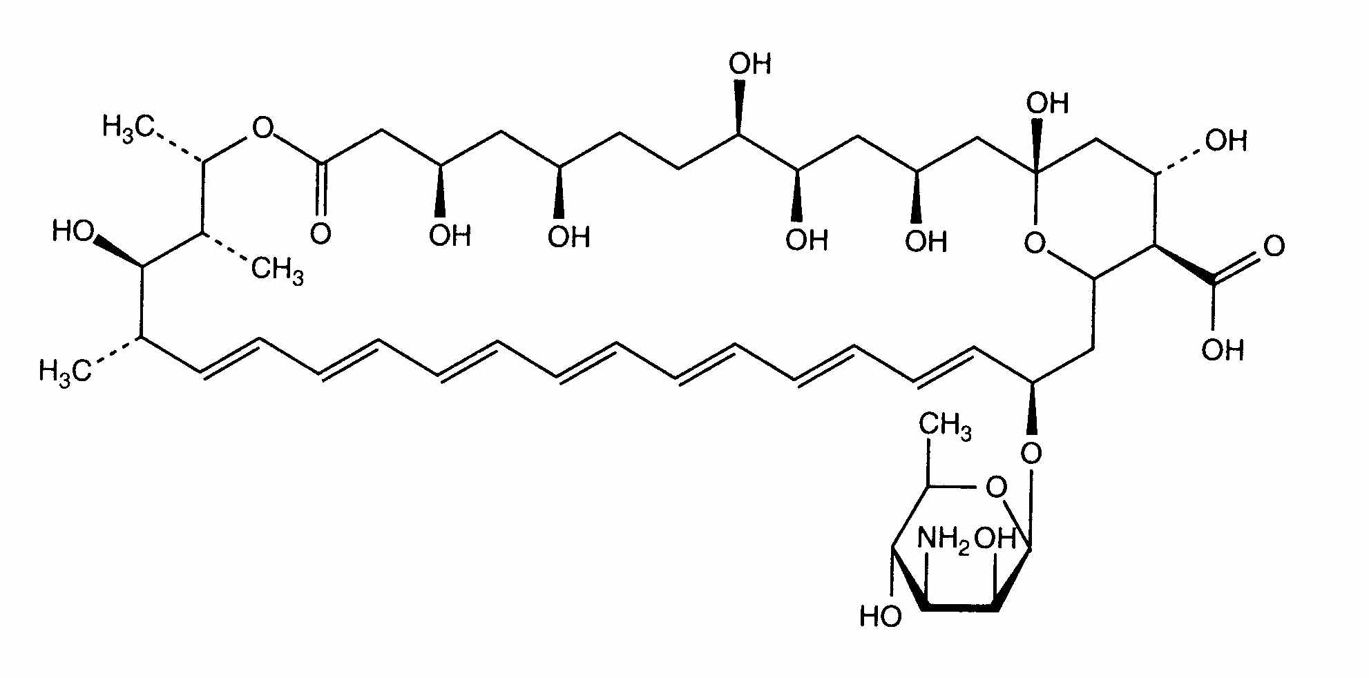
   Estructura química  

Enjuagues bucales
Compatibilidades   Enjuagues bucales   Compatibilidades : Amphotericin B              
Ausencia de datos

  Mentions Légales