آخر تحديث :
27/04/2026
مضاد للفطريات   Amphotericin B  
غسول الفم
الأيروصولات حقن عن طريق الفم  قطرات العين
استقرار المستحضرات الصيدلانية استقرار مخاليط العوامل التي تؤثر على الاستقرار التوافق مراجع pdf
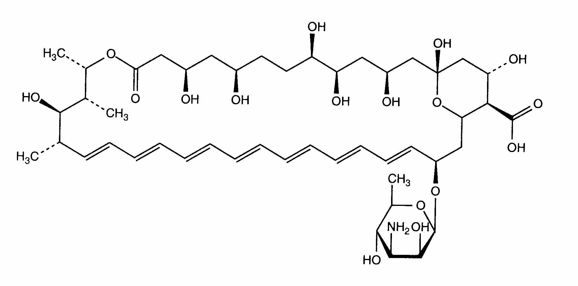
   التركيب الكيميائي  

غسول الفم
التوافق   غسول الفم   التوافق : Amphotericin B              
لا توجد بيانات

  Mentions Légales