Poslední aktualizace :
27/04/2026
Priešgrybelinis vaistas   Amphotericin B  
Skystis burnai skalauti
Aerozolis Akių lašai Geriamas tirpalas Įpurškimas
Stabilumas farmacinių preparatų Mišinių stabilumas Stabilumą lemiantys veiksniai Suderinamumas Bibliografija pdf
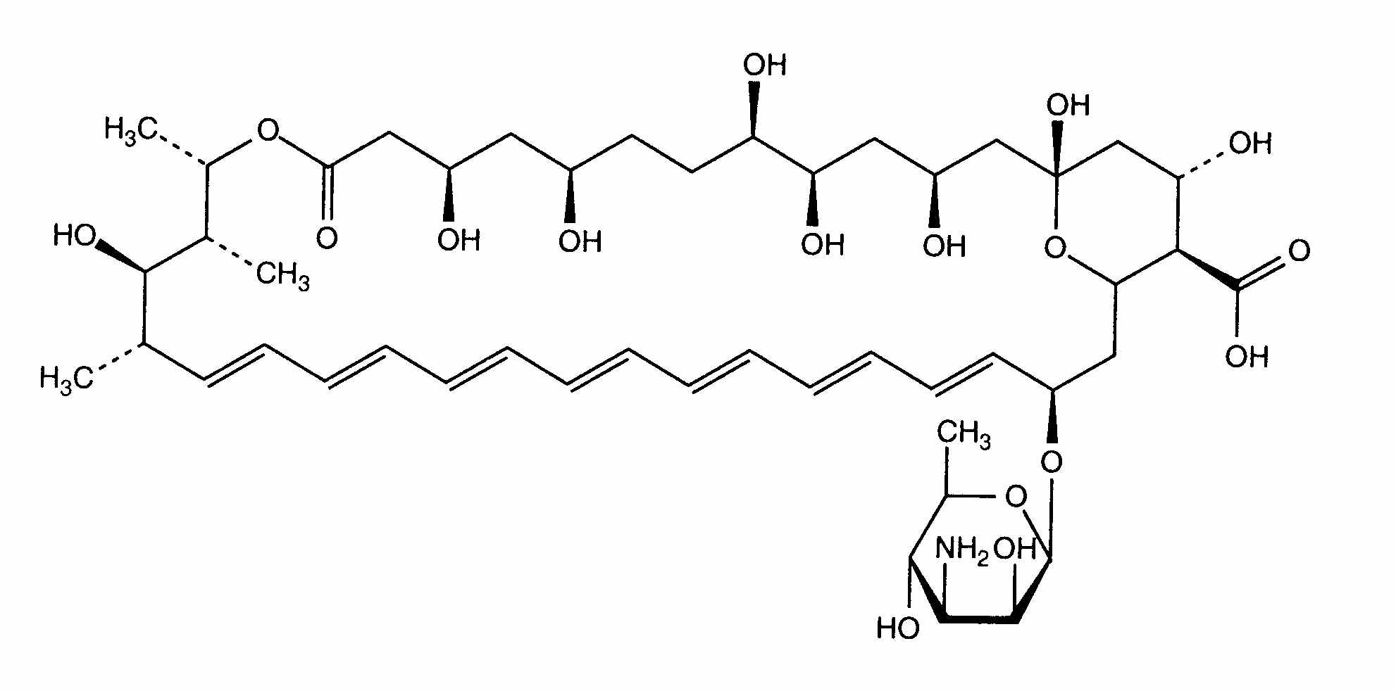
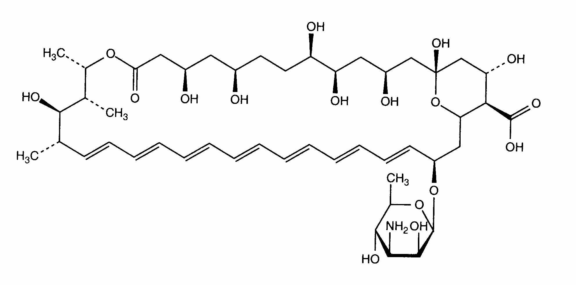
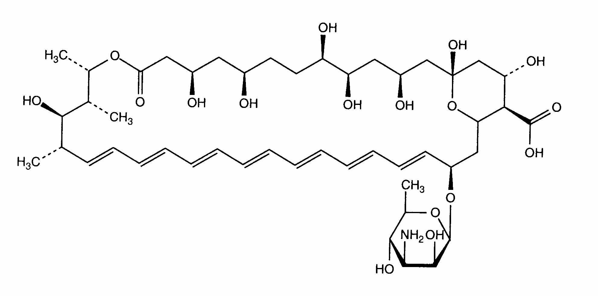
   Cheminė sandara  

Skystis burnai skalauti
Suderinamumas   Skystis burnai skalauti   Suderinamumas : Amphotericin B              
Nėra duomenų

  Mentions Légales