Última actualização :
27/04/2026
Antifúngico   Amphotericin B  
colutório
aerossol injetável solução oftálmica Solução Oral
Estabilidade de preparações farmacêuticas Estabilidade em misturas Factores que afectam a sua estabilidade Compatibilidade Bibliografía pdf
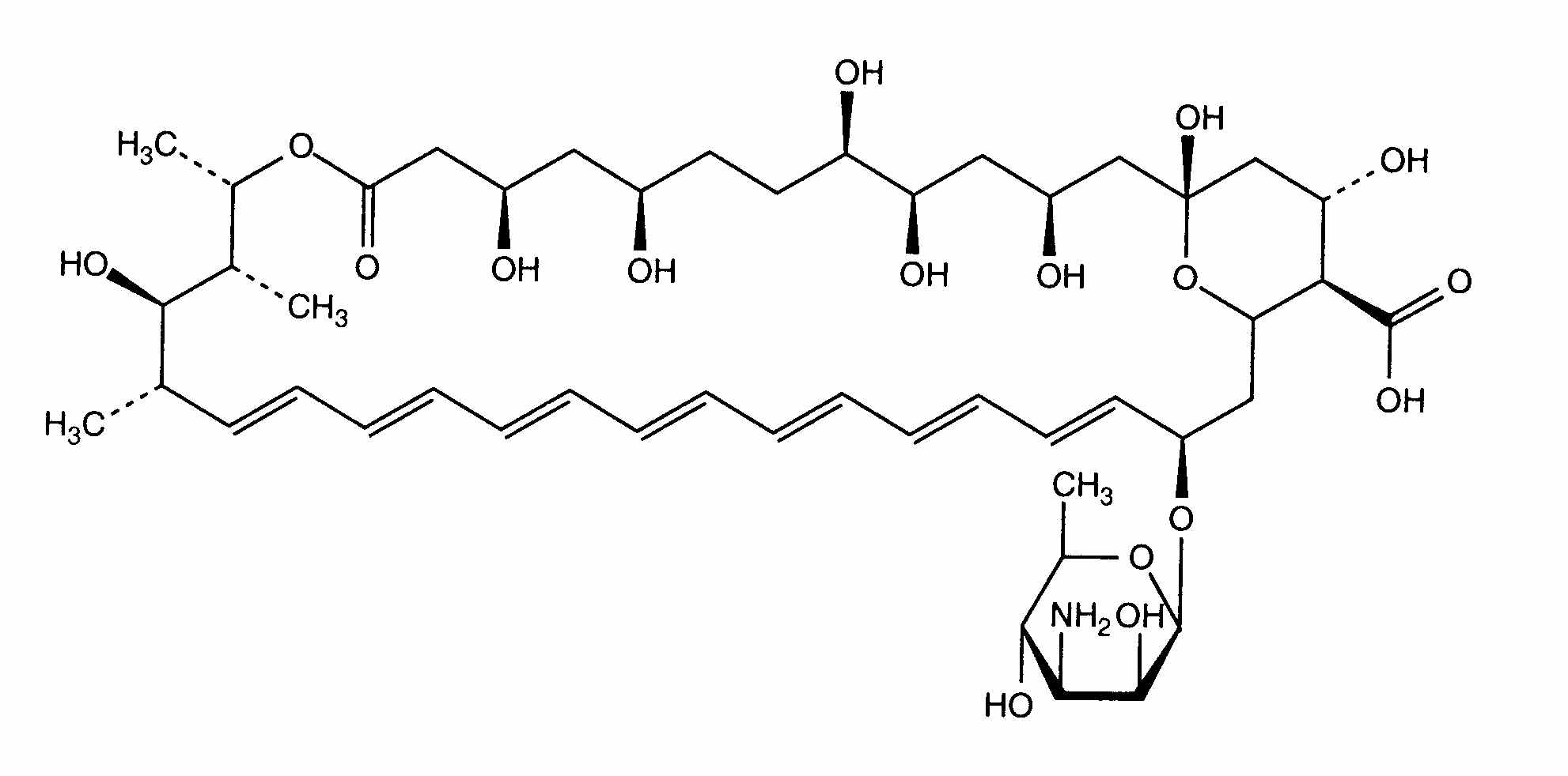
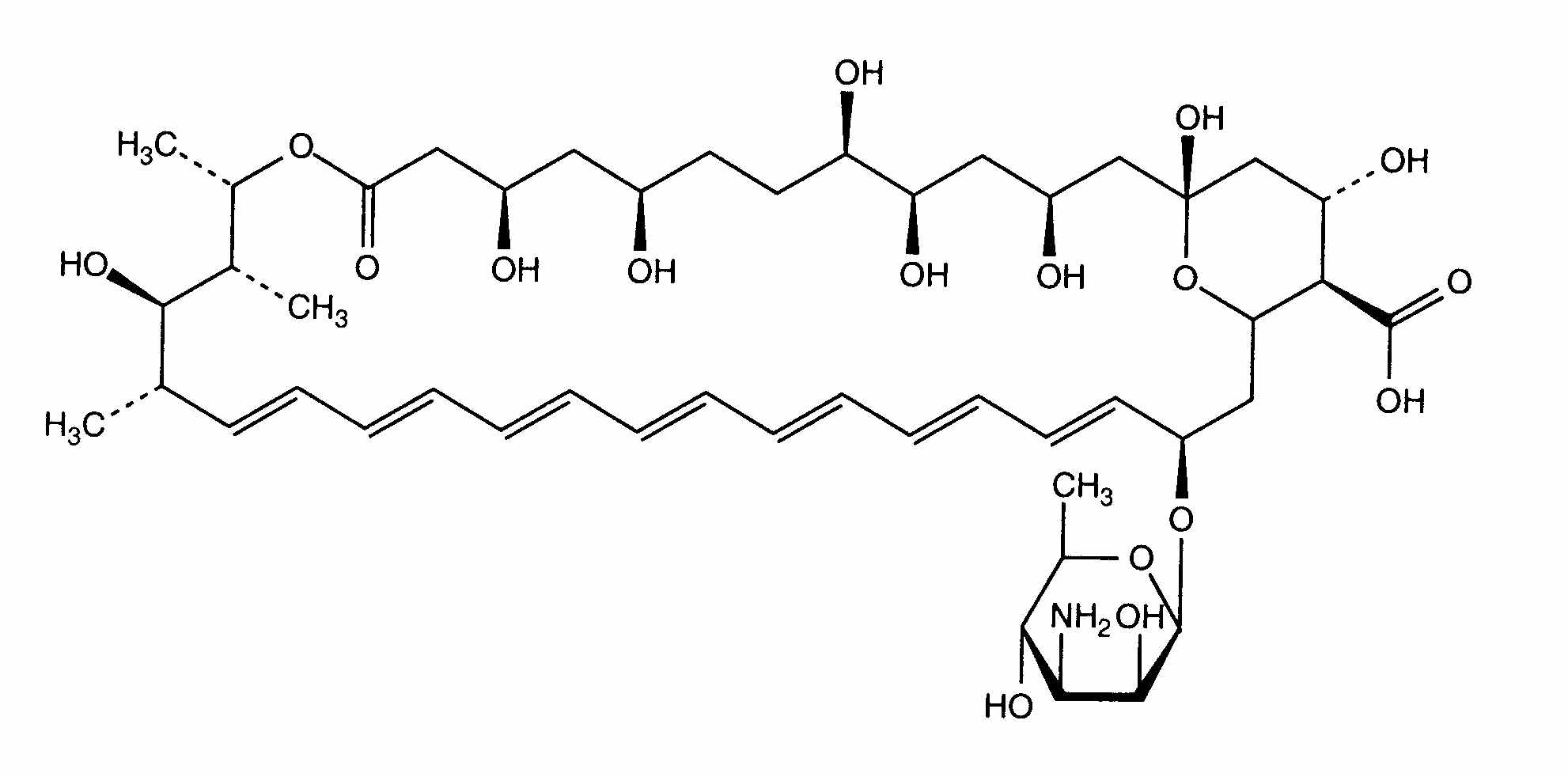
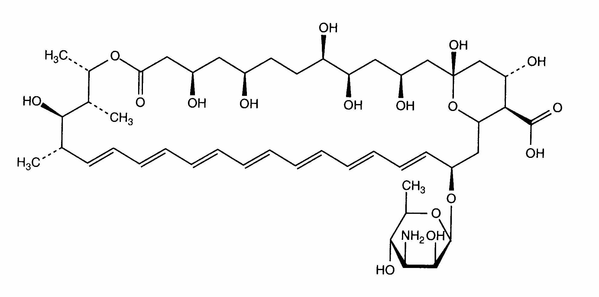
   estrutura química  

colutório
Compatibilidade   colutório   Compatibilidade : Amphotericin B              
Ausência de dados

  Mentions Légales