Dernière mise à jour :
27/04/2026
Antifongique   Amphotericin B  
Gargarisme
Aérosol Collyre injectable Solution buvable
Stabilité des préparations Stabilité en mélange Facteur influençant la stabilité Compatibilités Bibliographie pdf
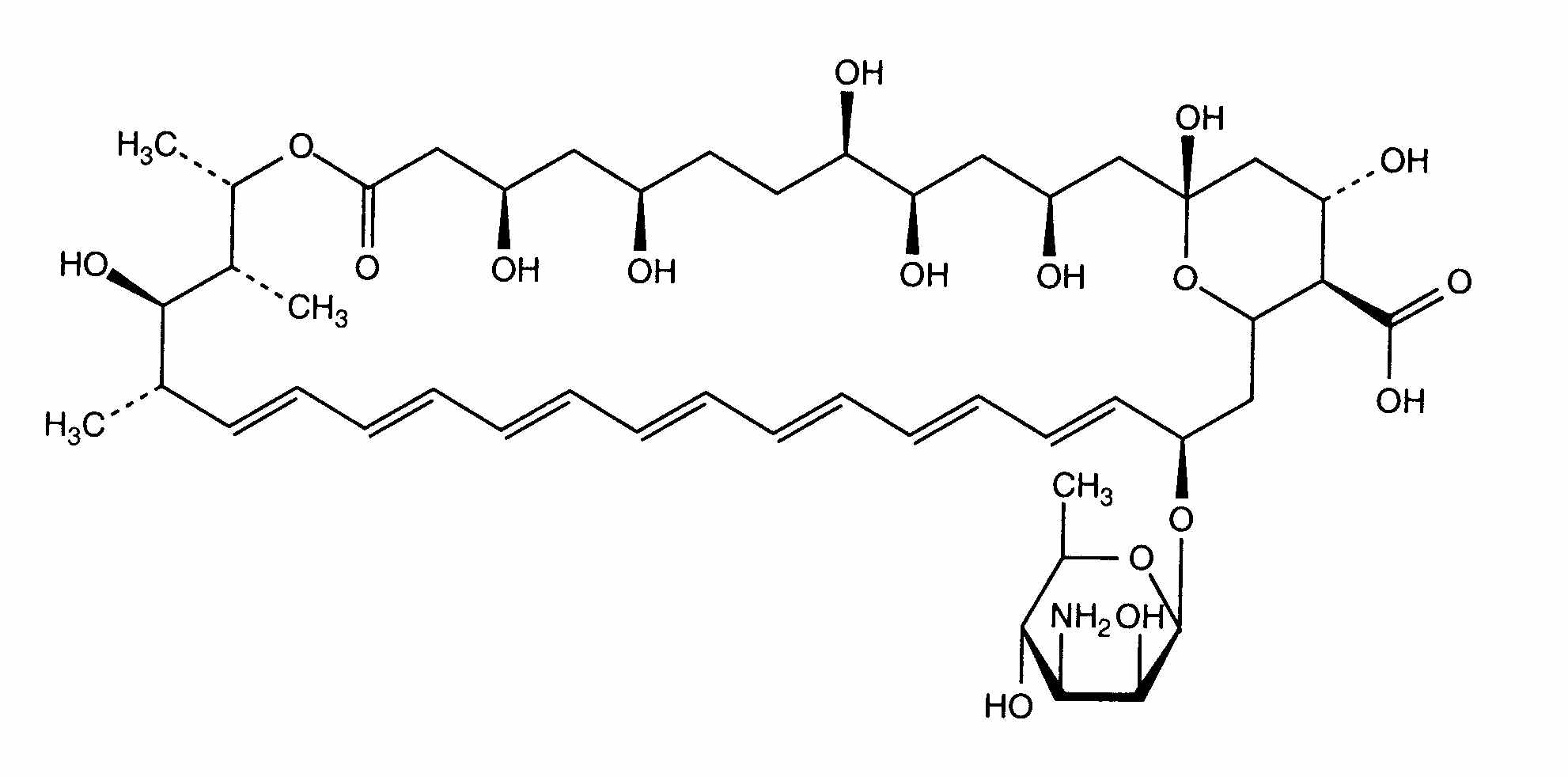
   Structure chimique  

Gargarisme
Compatibilités   Gargarisme    Compatibilités : Amphotericin B              
Aucune donnée

  Mentions Légales