Ultimele actualizari :
27/04/2026
Antifungic   Amphotericin B  
Gargara
Aerosol colir Injectabil Soluţie orală
Stabilitatea preparatelor farmaceutice Stabilitatea in amestec Factorii care influenteaza stabilitatea Compatibilitate Bibliografie pdf
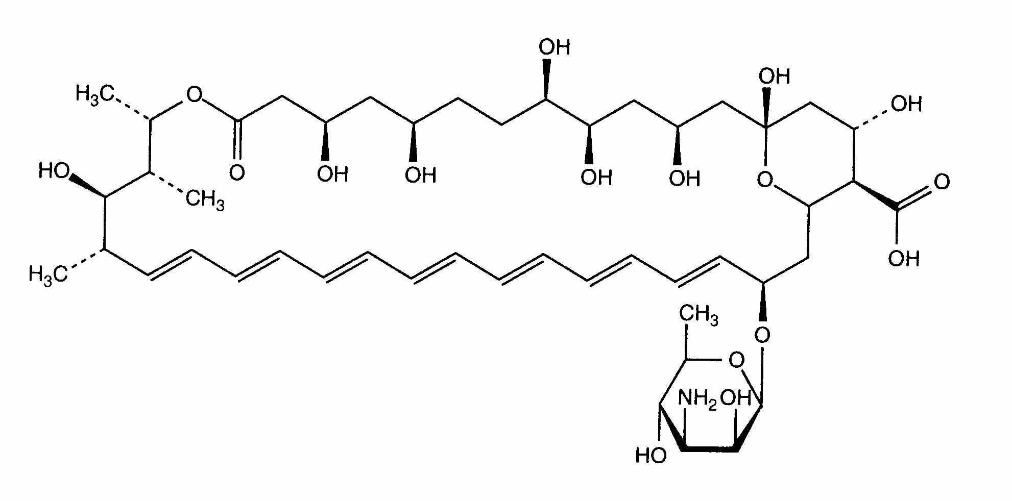
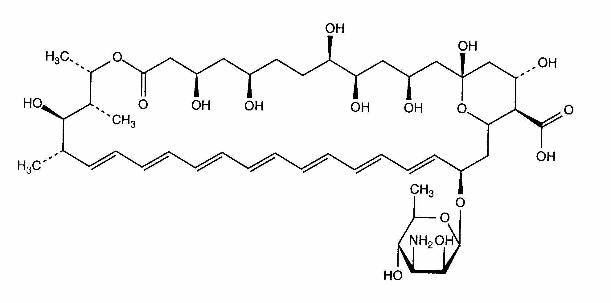
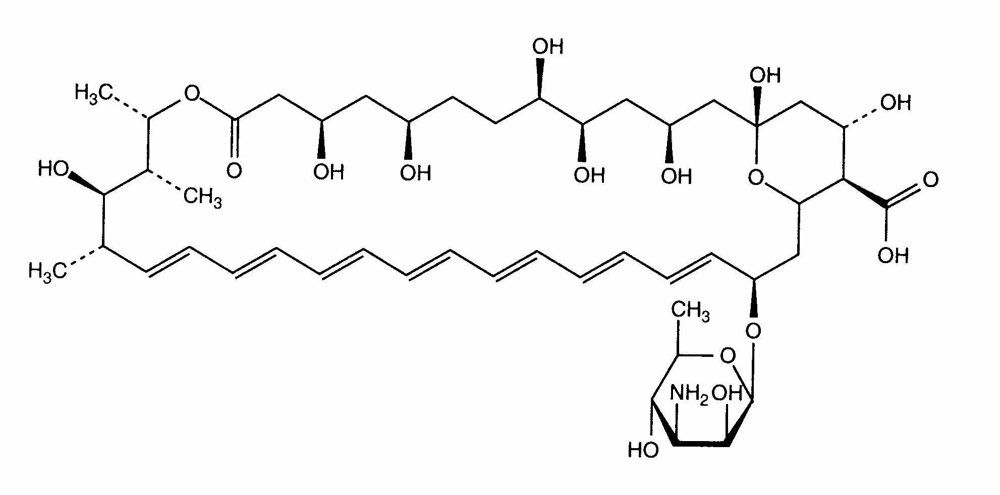
   Formula chimica  

Gargara
Compatibilitate   Gargara   Compatibilitate : Amphotericin B              
Absenta de date

  Mentions Légales