Utolsó frissítés :
27/04/2026
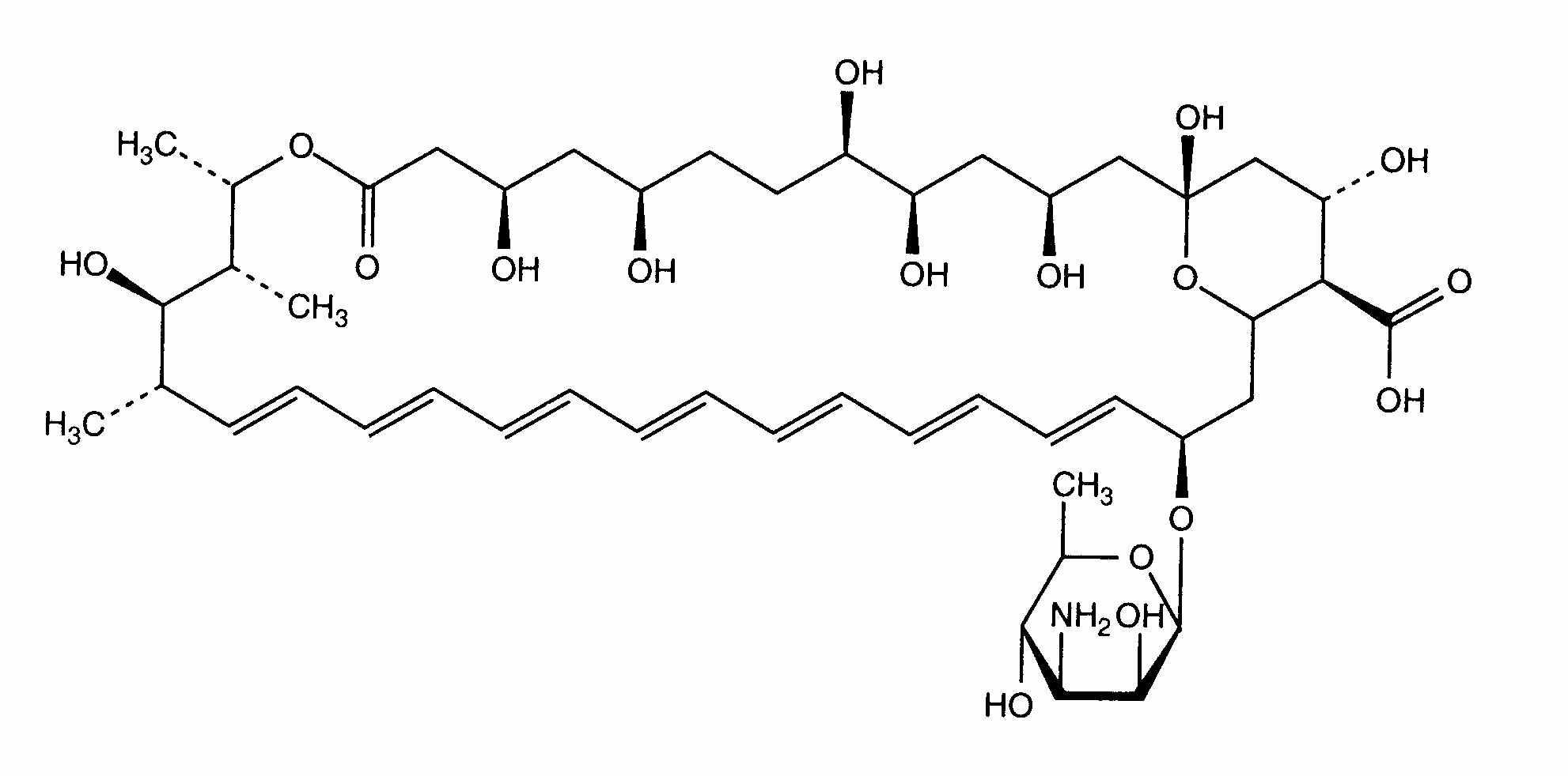
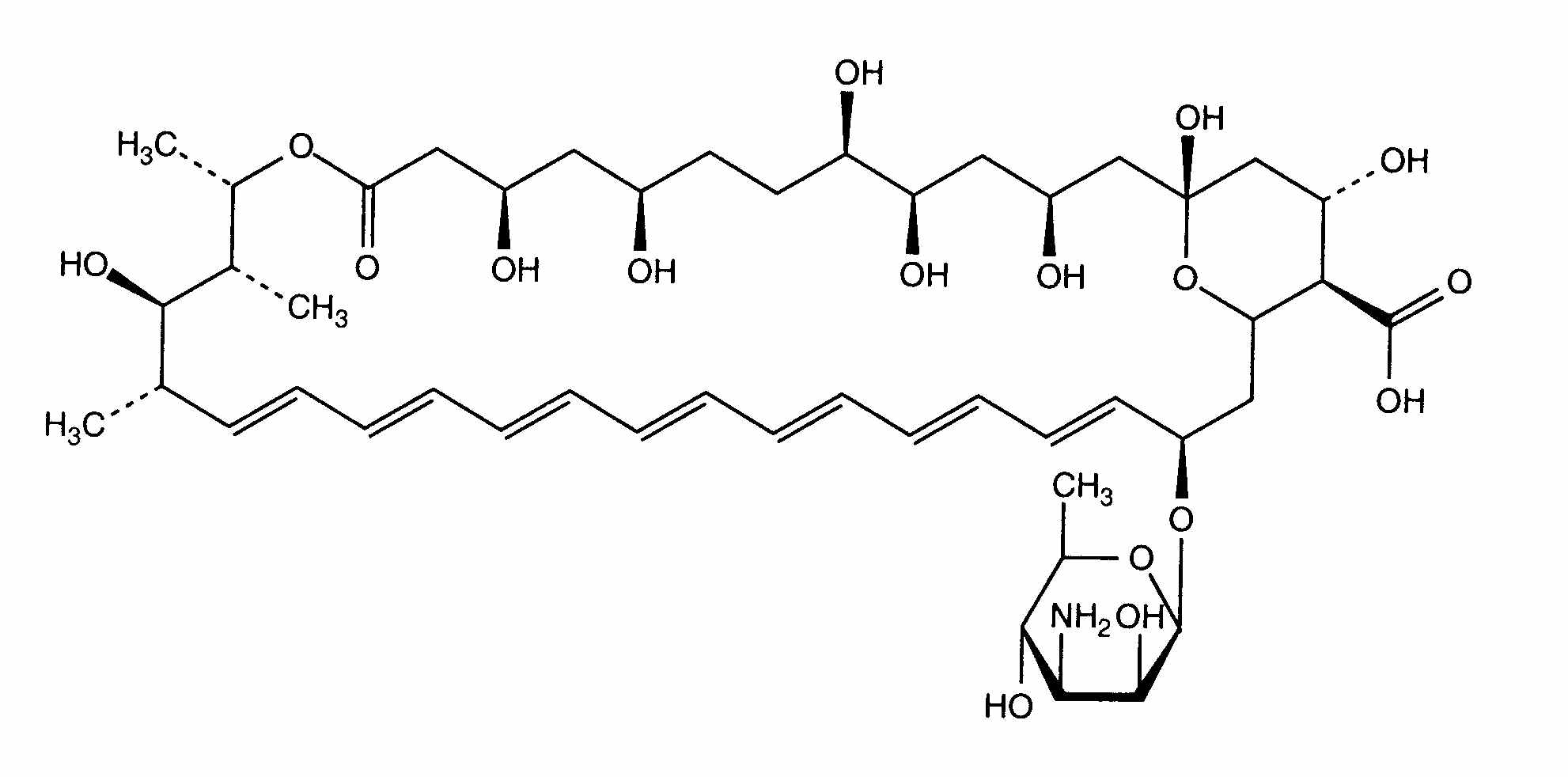
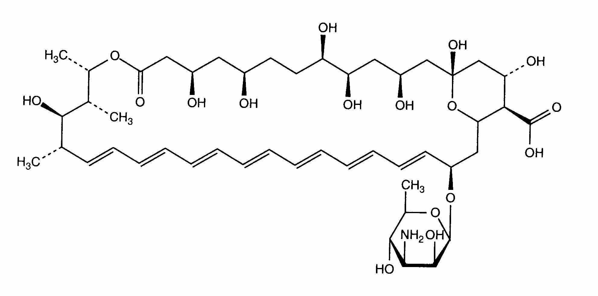
Gombaellenes szer   Amphotericin B  
Szájvíz
aeroszol belsőleges oldat Injekció Szemcsepp
Stabilitása gyógyszerészeti készítmények A keverékek stabilitása Stabilitást befolyásoló tényezők Kompatibilitás Irodalom pdf
   Kémiai szerkezet   

Szájvíz
Kompatibilitás   Szájvíz   Kompatibilitás : Amphotericin B              
Hiányzó adat

  Mentions Légales