最新更新 :
27/04/2026
抗真菌薬   Amphotericin B  
含嗽薬
エアロゾル 注射薬 点眼薬 経口液
調剤時の安定性 混合時の安定性 安定性に影響する因子 互換性 引用文献 PDF
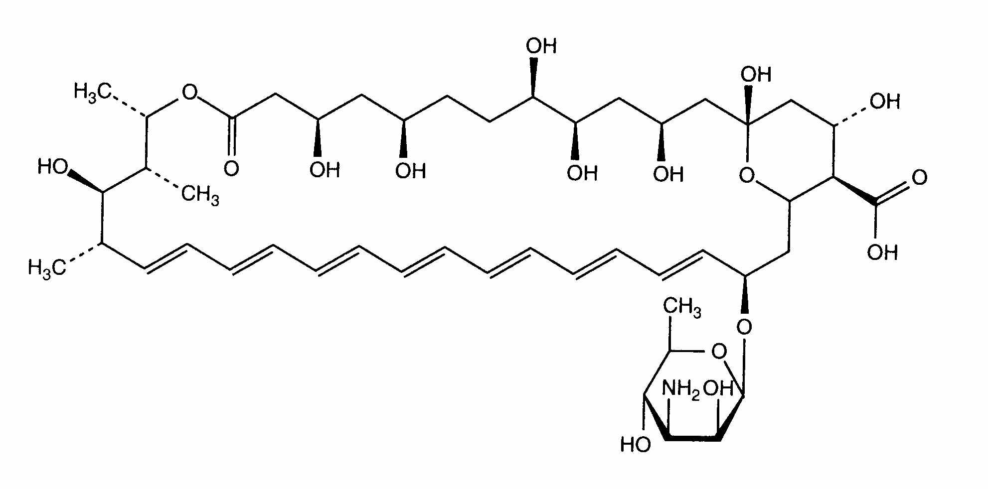
   化学構造  

含嗽薬
互換性   含嗽薬   互換性 : Amphotericin B              
データなし

  Mentions Légales