最新更新 :
27/04/2026
抗真菌药   Amphotericin B  
漱口水
口服剂 气雾剂 注射液 眼药水
制剂的稳定性 混合物稳定性 影响稳定性的因素 兼容性 引用文献 PDF
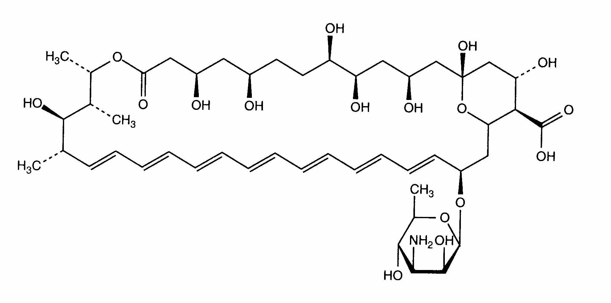
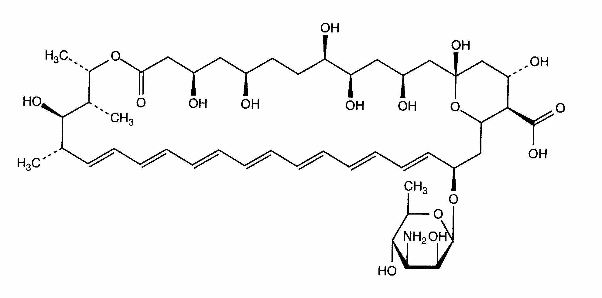
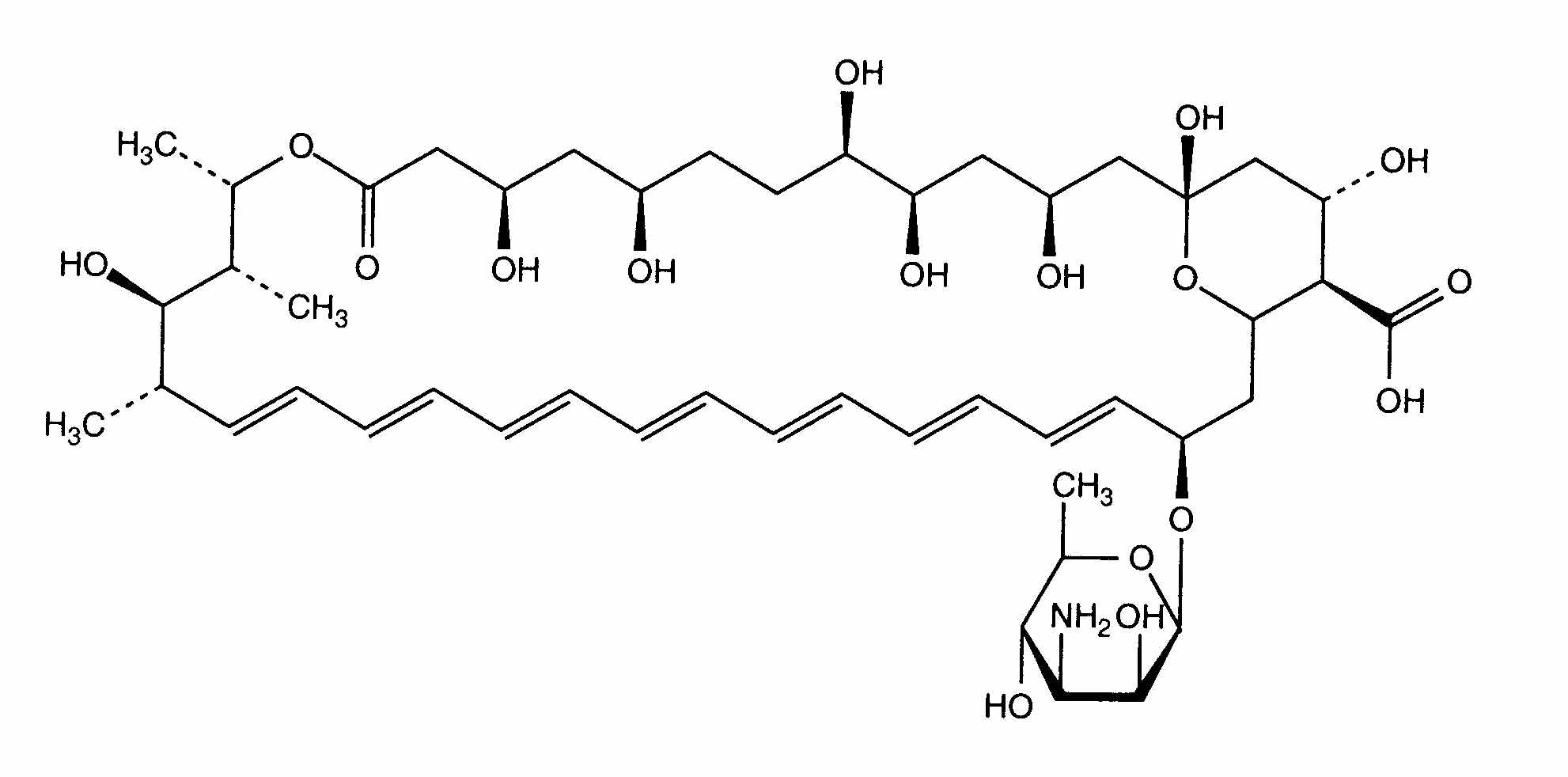
   化学式  

漱口水
兼容性   漱口水   兼容性 : Amphotericin B              
无数据

  Mentions Légales