Zadnji put ažurirano :
27/04/2026
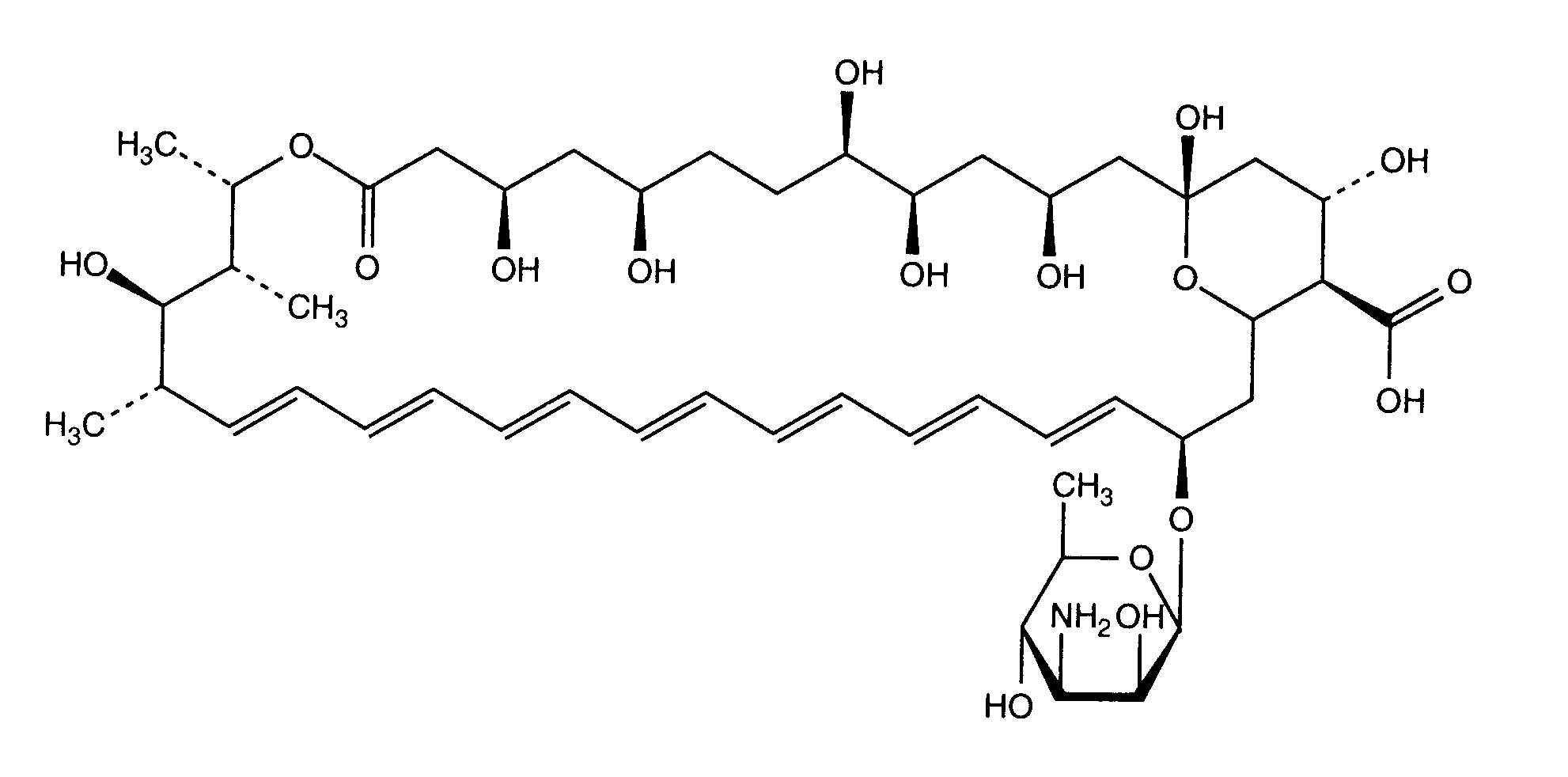
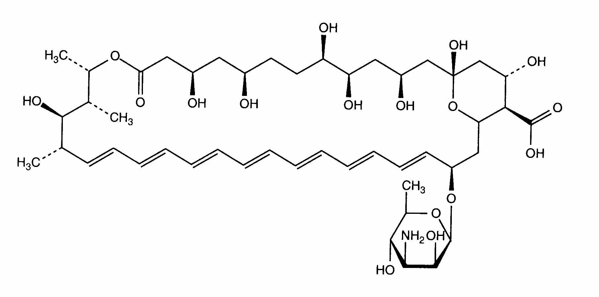
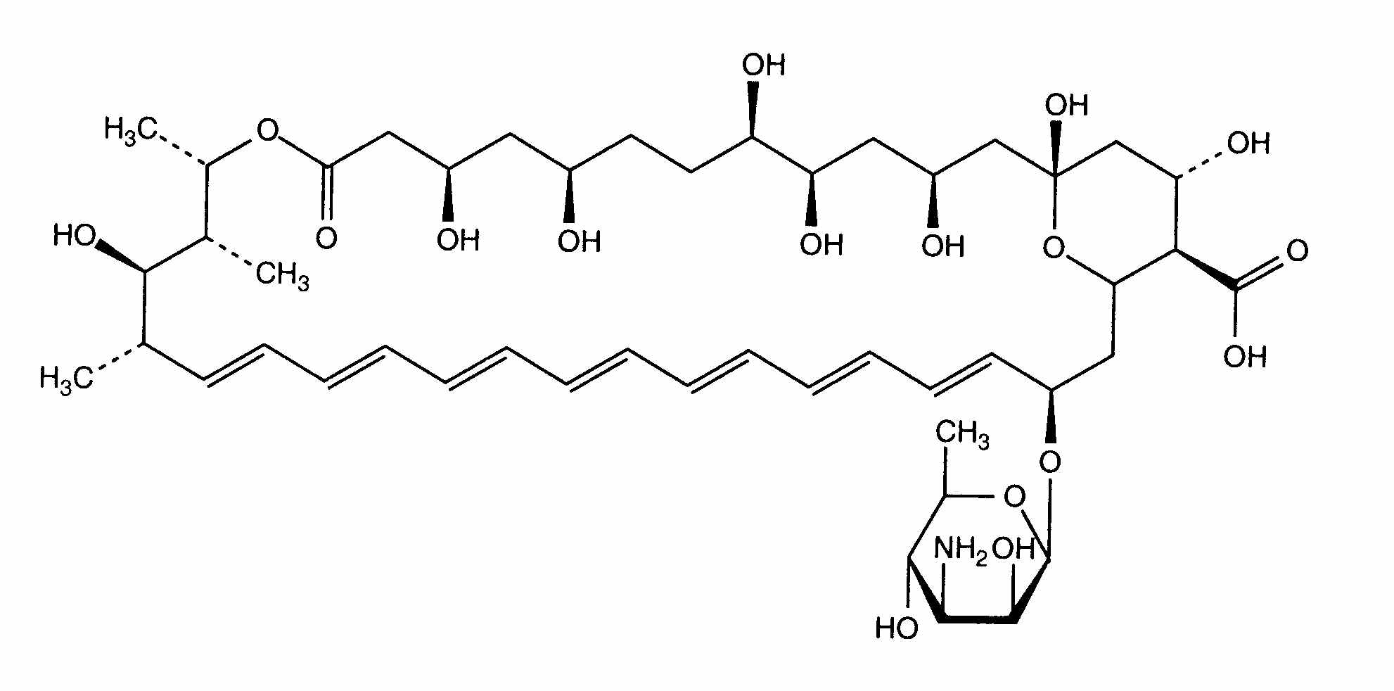
antifungicid   Amphotericin B  
otopina za ispiranje usne šupljine
aerosol injekcija kapi za oko oralna otopina
Stabilnost farmaceutskih pripravaka Stabilnost mješavine Stabilizacijski faktor Kompatibilnosti Bibliografija pdf
   Kemijska struktura  

otopina za ispiranje usne šupljine
Kompatibilnosti   otopina za ispiranje usne šupljine   Kompatibilnosti : Amphotericin B              
bez podataka

  Mentions Légales