Pēdējā atjaunošana :
27/04/2026
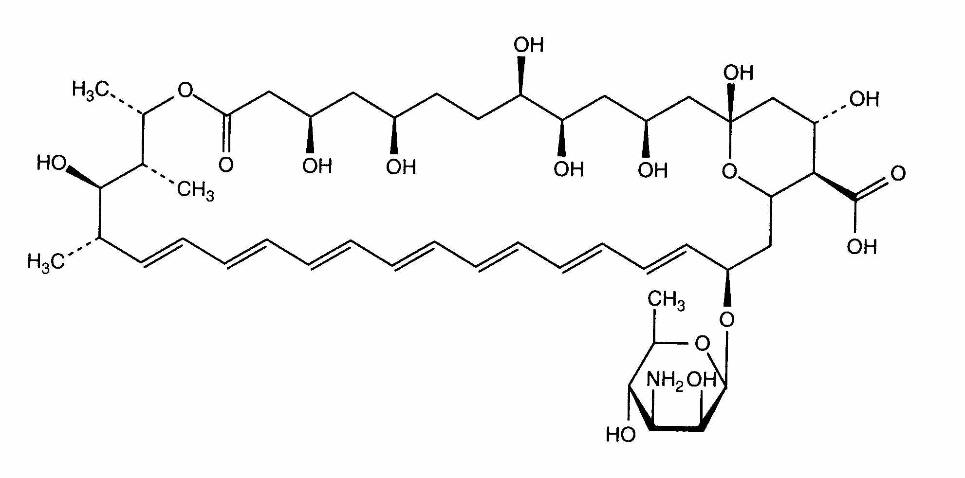
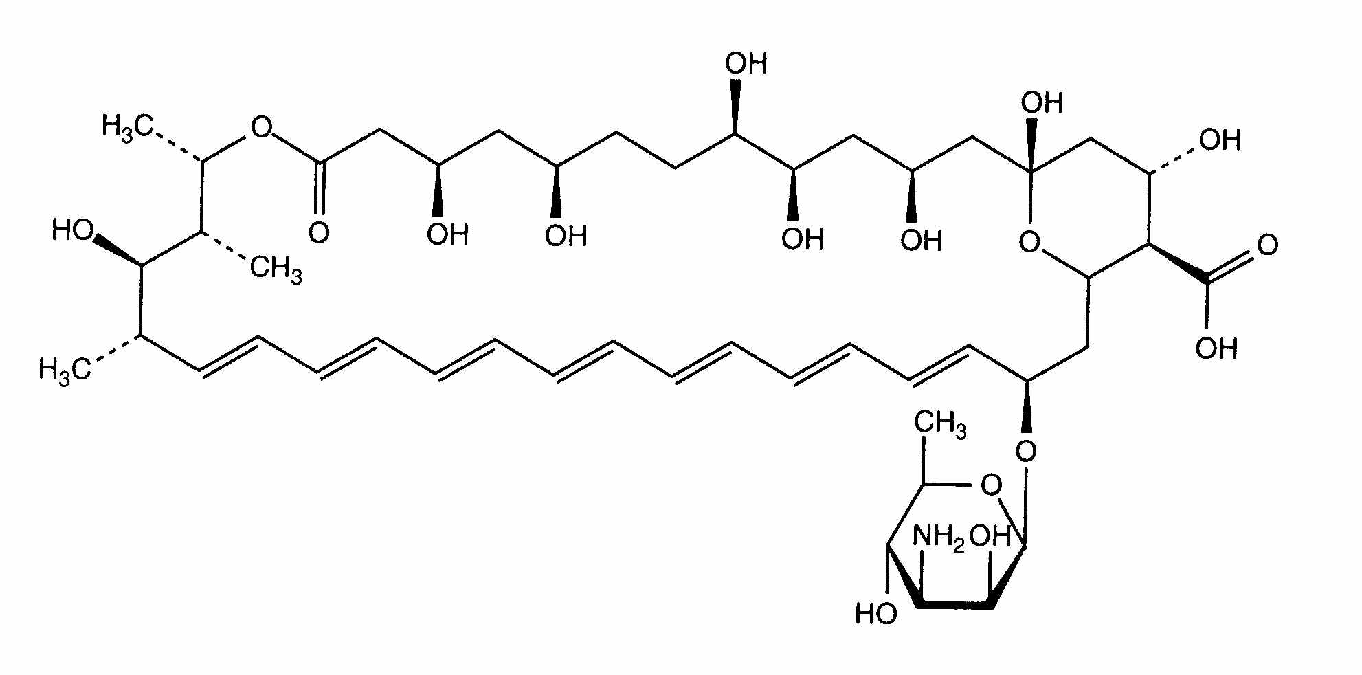
Pretsēnīšu līdzeklis   Amphotericin B  
Mutes skalojamais līdzeklis
Acu pilieni Aerosols Injekcija Orāls šķīdums
Stabilitāte farmaceitisko preparātu Maisījuma stabilitāte Stabilitāti ietekmējoši faktori Saderība Literatūras saraksts pdf
   Ķīmiskā uzbūve   

Mutes skalojamais līdzeklis
Saderība   Mutes skalojamais līdzeklis   Saderība : Amphotericin B              
Nav datu

  Mentions Légales