Последно актуализиране :
27/04/2026
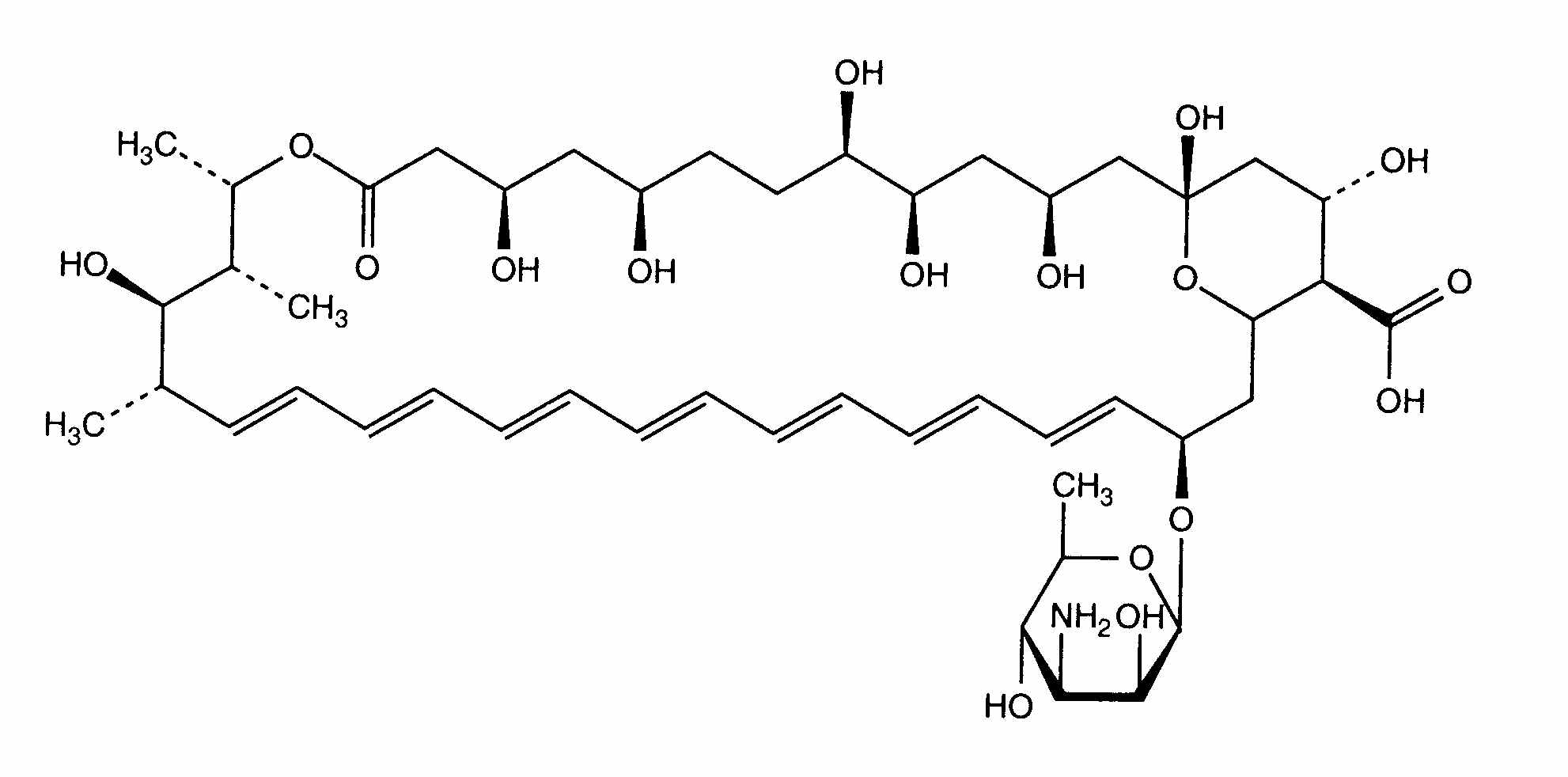
Противогъбично средство   Amphotericin B  
Разтвор за уста
Аерозол Инжекция/Инжекционен Капки за очи Орален разтвор
Стабилност на лекарствени препарати Стабилност на смеси Фактори, повлияващи стабилността Съвместимост Библиография Pdf
   Химична структура  

Разтвор за уста
Съвместимост   Разтвор за уста   Съвместимост : Amphotericin B              
Няма данни

  Mentions Légales