Останнє оновлення :
27/04/2026
Протигрибковий   Amphotericin B  
аерозоль
ін'єкція Ополіскувач ротової порожнини Очні краплі Розчин для перорального застосування
Стабільність фармацевтичних препаратів Стійкість сумішей Фактори, що впливають на стабільність Сумісність Список літератури pdf
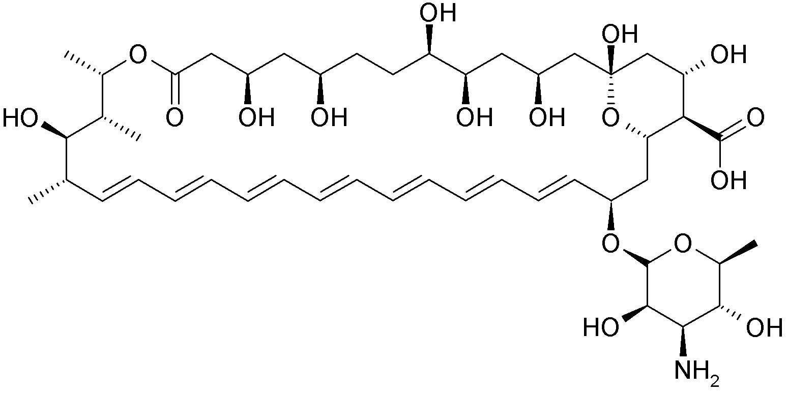
   Хімічна структура  

аерозоль
Сумісність   аерозоль   Сумісність : Amphotericin B              
7 / 5 000 Résultats de traduction Немає даних

  Mentions Légales