Dernière mise à jour :
27/04/2026
Antifongique   Amphotericin B  
Aérosol
Collyre Gargarisme injectable Solution buvable
Stabilité des préparations Stabilité en mélange Facteur influençant la stabilité Compatibilités Bibliographie pdf
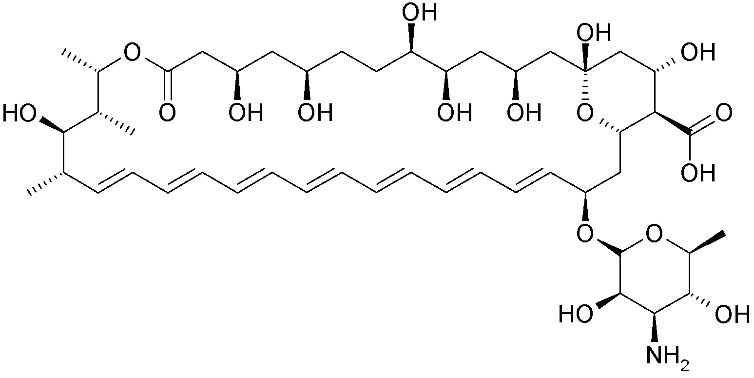
   Structure chimique  

Aérosol
Compatibilités   Aérosol   Compatibilités : Amphotericin B              
Aucune donnée

  Mentions Légales