Utolsó frissítés :
27/04/2026
Gombaellenes szer   Amphotericin B  
aeroszol
belsőleges oldat Injekció Szájvíz Szemcsepp
Stabilitása gyógyszerészeti készítmények A keverékek stabilitása Stabilitást befolyásoló tényezők Kompatibilitás Irodalom pdf
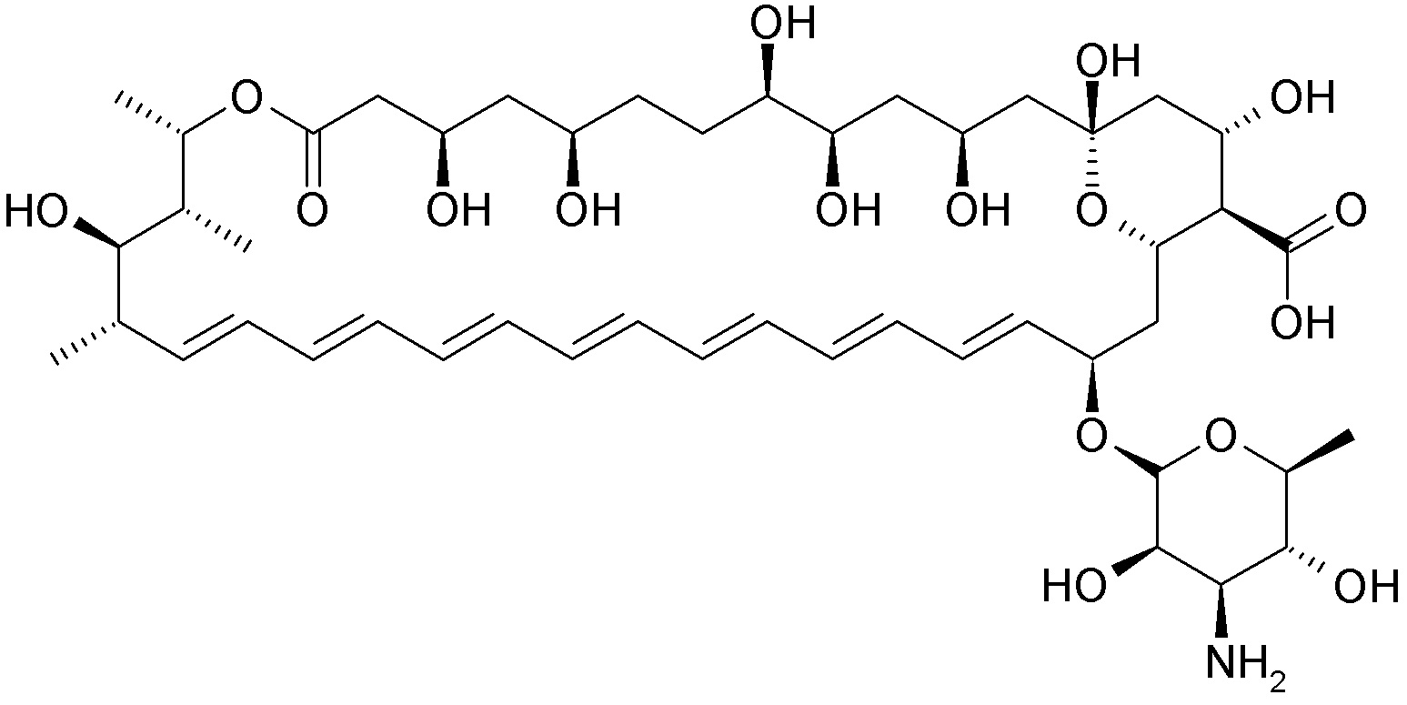
   Kémiai szerkezet   

aeroszol
Kompatibilitás   aeroszol   Kompatibilitás : Amphotericin B              
Hiányzó adat

  Mentions Légales