Τελευταία ενημέρωση :
27/04/2026
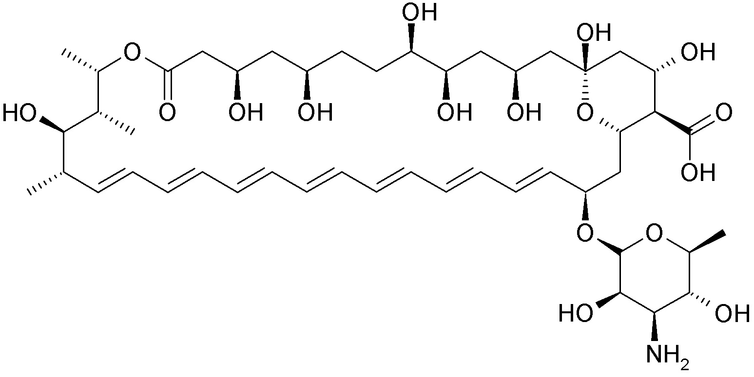
Αντιμυκητικό   Amphotericin B  
Αεροζόλ
Ενέσιμο Οφθαλμικές σταγόνες Πόσιμο διάλυμα Στοματικό διάλυμα
Σταθερότητα και συμβατότητα των φαρμάκων Σταθερότητα σε μίγματα Παράγοντας που επηρεάζει τη σταθερότητα Συμβατότητες Βιβλιογραφία pdf
   χημική δομή  

Αεροζόλ
Συμβατότητες    Αεροζόλ   Συμβατότητες : Amphotericin B              
Δεν υπάρχουν πληροφορίες

  Mentions Légales