Posledná aktualizácia :
27/04/2026
antimykotikum   Amphotericin B  
Aerosól
Injekcia Kloktadlo Očná instilácia Perorálny roztok
Stabilita farmaceutických prípravkov Stabilita v zmesiach Faktory ovplyvňujúce stabilitu Kompatibility Odkazy na literatúru PDF
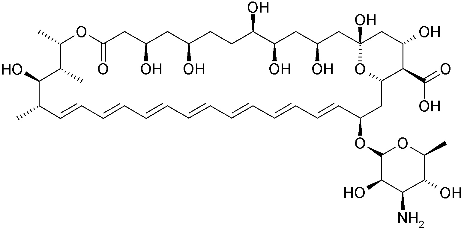
   Chemický vzorec  

Aerosól
Kompatibility   Aerosól   Kompatibility : Amphotericin B              
žiadne údaje

  Mentions Légales