Последно актуализиране :
27/04/2026
Противогъбично средство   Amphotericin B  
Аерозол
Инжекция/Инжекционен Капки за очи Орален разтвор Разтвор за уста
Стабилност на лекарствени препарати Стабилност на смеси Фактори, повлияващи стабилността Съвместимост Библиография Pdf
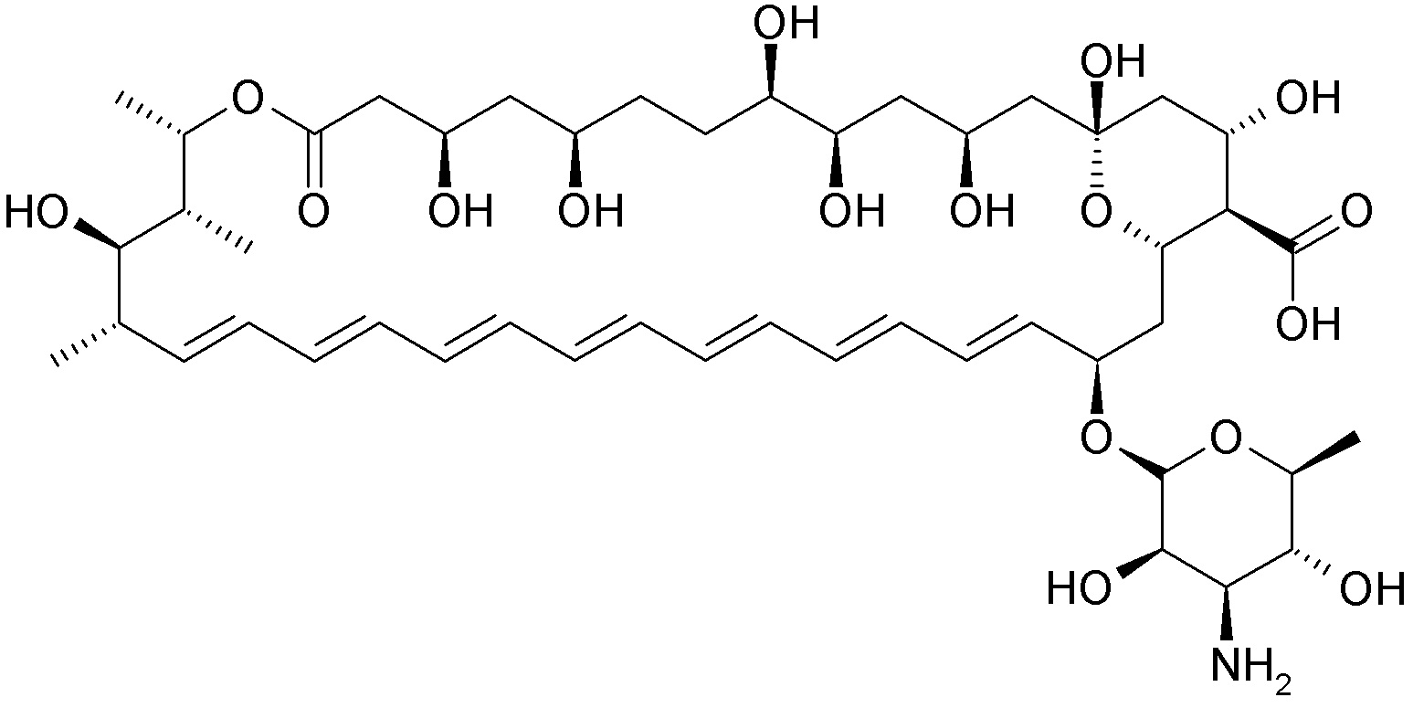
   Химична структура  

Аерозол
Съвместимост   Аерозол   Съвместимост : Amphotericin B              
Няма данни

  Mentions Légales