آخر تحديث :
27/04/2026
مضاد للفطريات   Amphotericin B  
الأيروصولات
حقن عن طريق الفم  غسول الفم قطرات العين
استقرار المستحضرات الصيدلانية استقرار مخاليط العوامل التي تؤثر على الاستقرار التوافق مراجع pdf
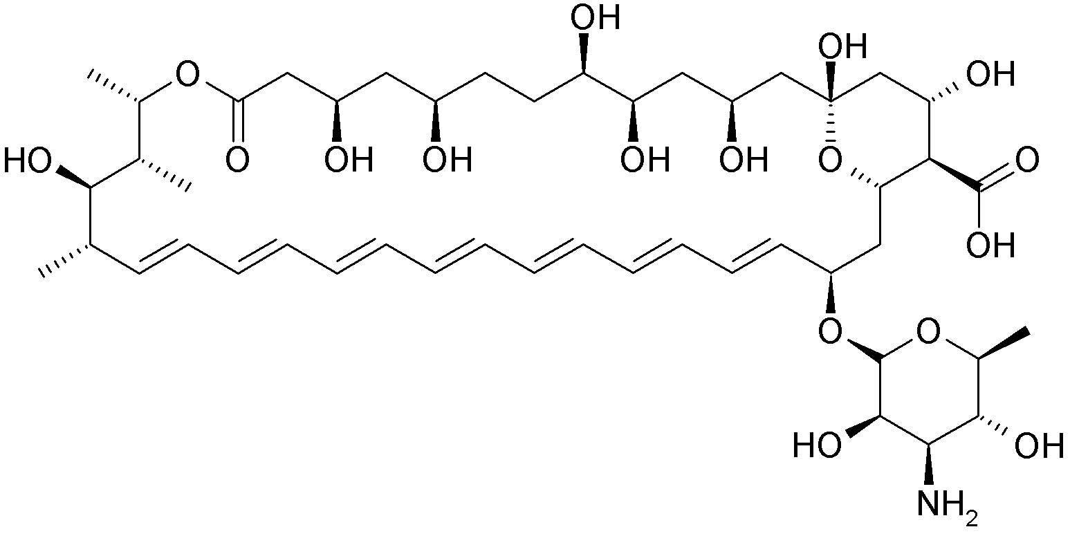
   التركيب الكيميائي  

الأيروصولات
التوافق   الأيروصولات   التوافق : Amphotericin B              
لا توجد بيانات

  Mentions Légales