Ostatnia aktualizacja :
27/04/2026
Lek przeciwgrzybiczny   Amphotericin B  
Aerozol
Injekcje Krople oczne Roztwór do płukania gardła Roztwór doustny
Stabilność preparatów farmaceutycznych Trwałość w mieszaninie Czynnik wpływający na trwałość Zgodność Bibliografia pdf
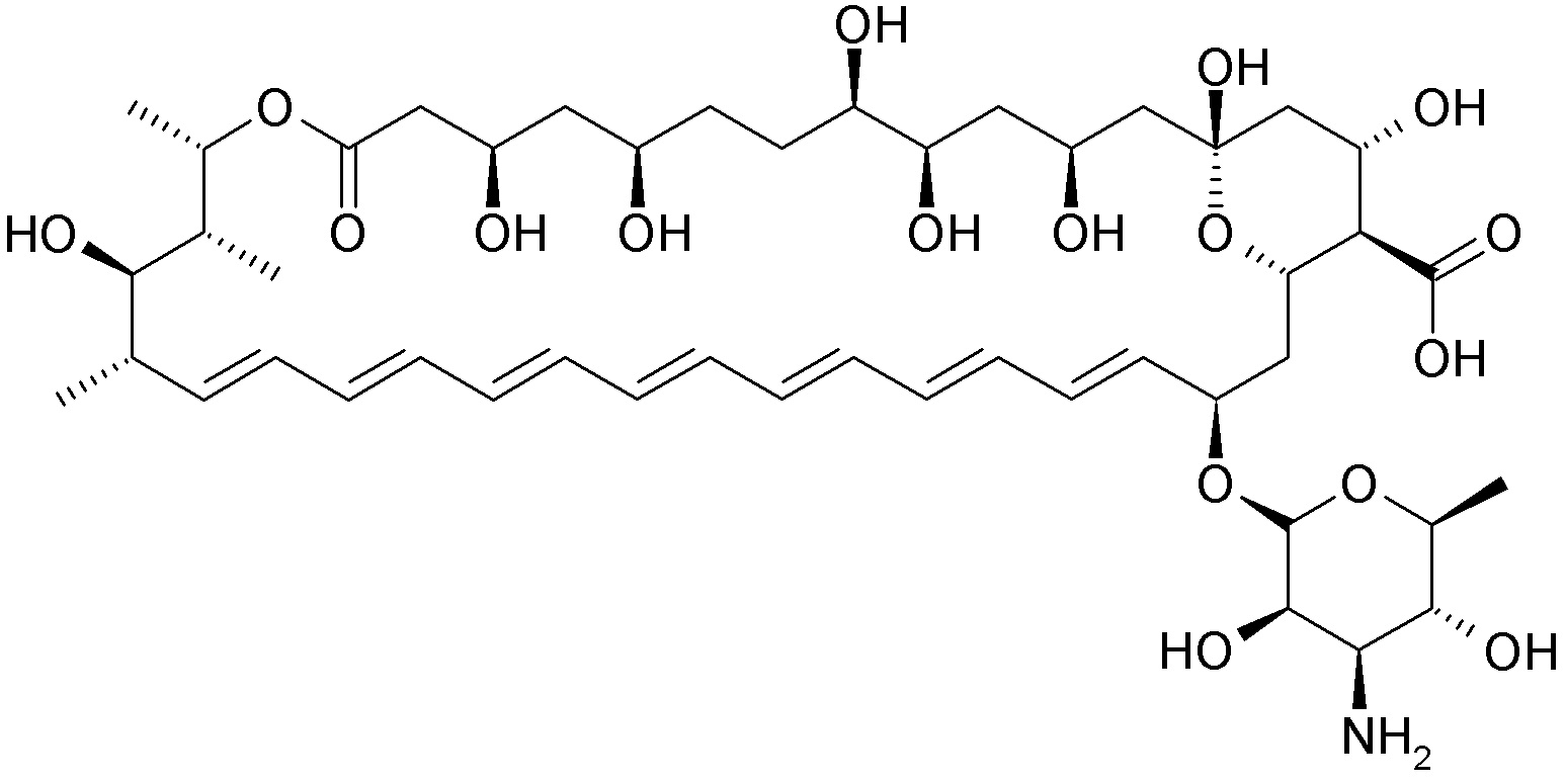
   Struktura chemiczna  

Aerozol
Stabilność preparatów farmaceutycznych   Aerozol   Stabilność preparatów farmaceutycznych : Amphotericin B     
Pojemnik Origine Substancja pomocniczna Temperatura Przechowywanie Czas trwania stabilności Bibliografia
Szkło Fiolka 50 mg
Fungizona® (Squibb Industria Farmaceutica)
Woda do iniekcji >> 50 ml
20-25°C Przy świetle lub w ciemności
30 Dzień
3069

Szkło Fiolka 50 mg
Fungizona® (Squibb Industria Farmaceutica)
Woda do iniekcji >> 50 ml
4-8°C Chronić od światła
30 Dzień
3069


  Mentions Légales