Ultimele actualizari :
27/04/2026
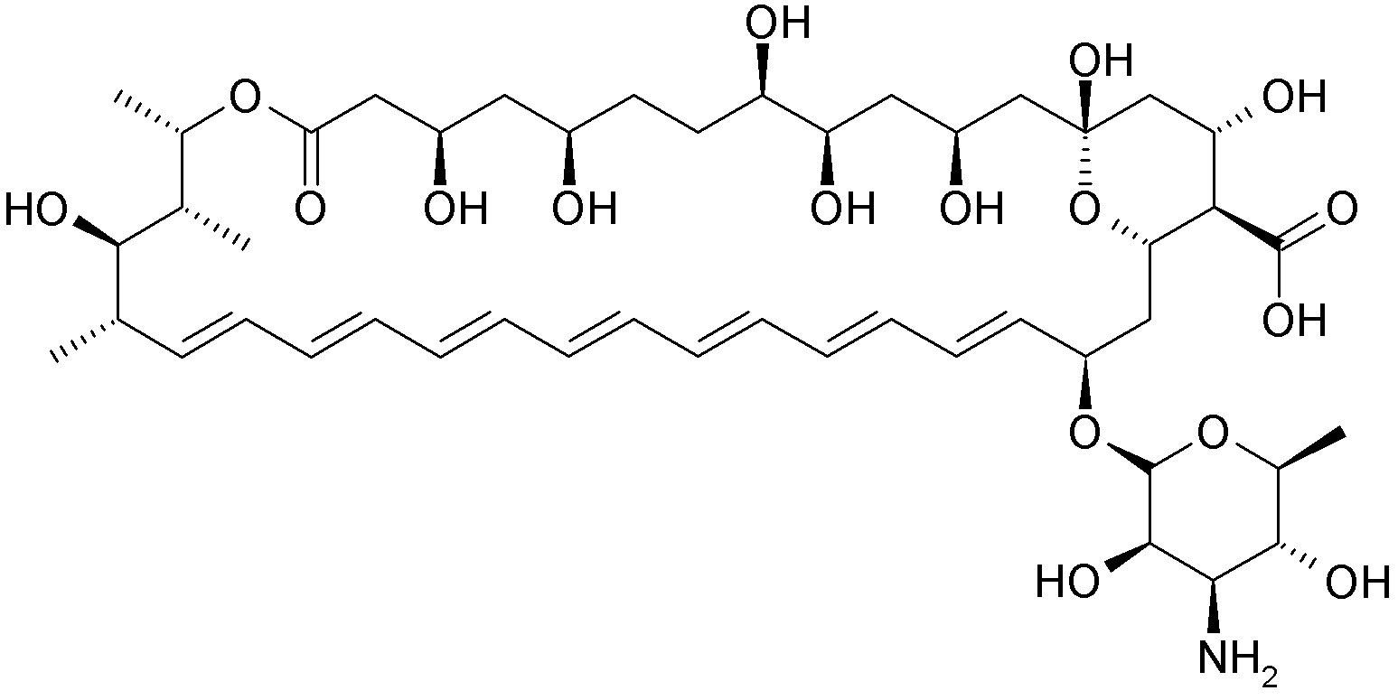
Antifungic   Amphotericin B  
Aerosol
colir Gargara Injectabil Soluţie orală
Stabilitatea preparatelor farmaceutice Stabilitatea in amestec Factorii care influenteaza stabilitatea Compatibilitate Bibliografie pdf
   Formula chimica  

Aerosol
Compatibilitate   Aerosol   Compatibilitate : Amphotericin B              
Absenta de date

  Mentions Légales