Seneste opdatering :
27/04/2026
Antisvampe   Amphotericin B  
Aerosol
Injektion Mundskyllevæske Oral opløsning Øjendråber
Stabilitet af farmaceutiske tilberedninger Stabilitet i blandinger Faktorer der påvirker stabiliteten Kompatibilitet Bibliografi pdf
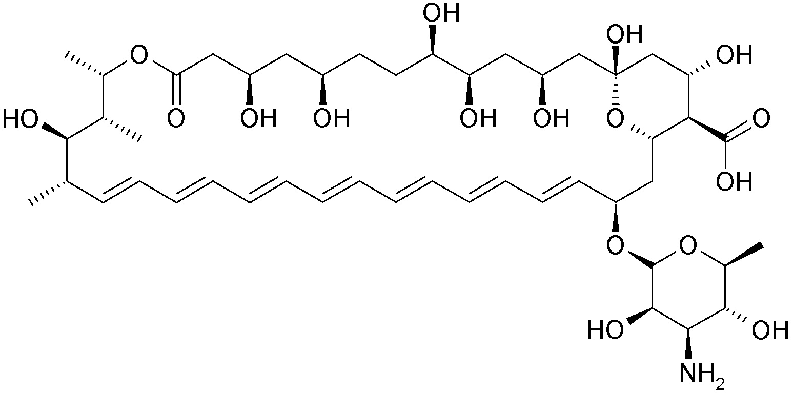
   Kemisk struktur  

Aerosol
Kompatibilitet   Aerosol   Kompatibilitet : Amphotericin B              
Ingen data

  Mentions Légales