Poslední aktualizace :
27/04/2026
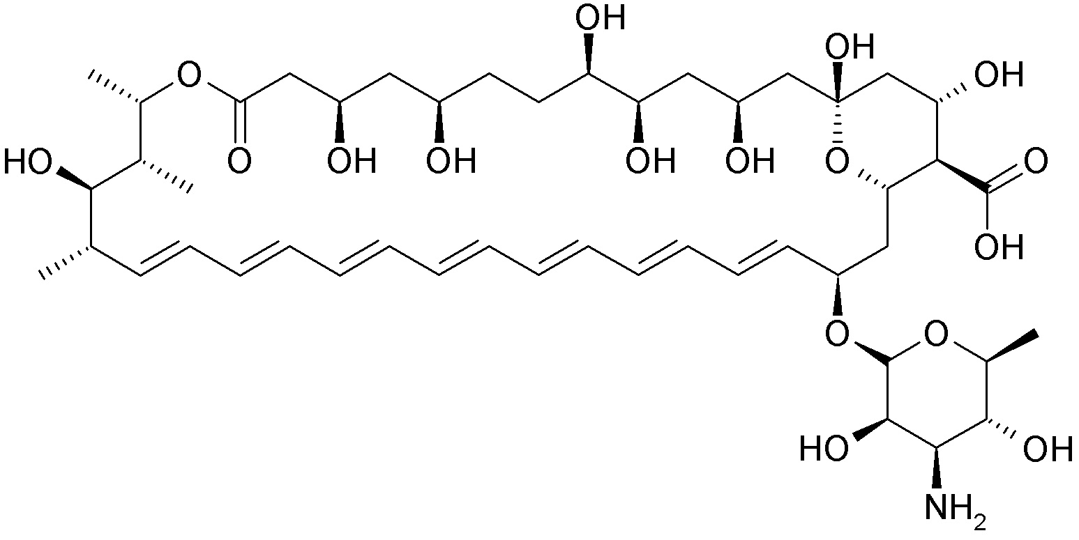
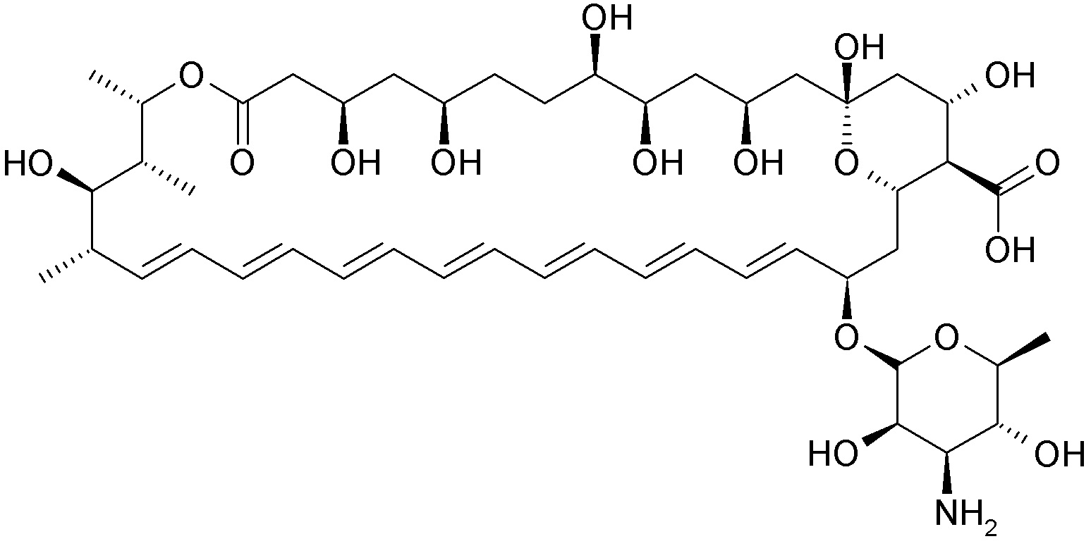
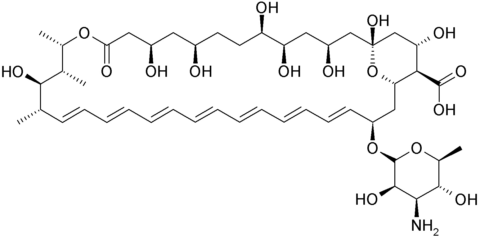
Protiplísňový přípravek   Amphotericin B  
Aerosol
Humbuk injekce kloktadlo Perorální roztok
Stabilita farmaceutických přípravků Stabilita směsí Faktory ovlivňující stabilitu Kompatibilita Odkazy pdf
   Chemický vzorec  

Aerosol
Kompatibilita   Aerosol   Kompatibilita : Amphotericin B              
žádná data

  Mentions Légales