最新更新 :
27/04/2026
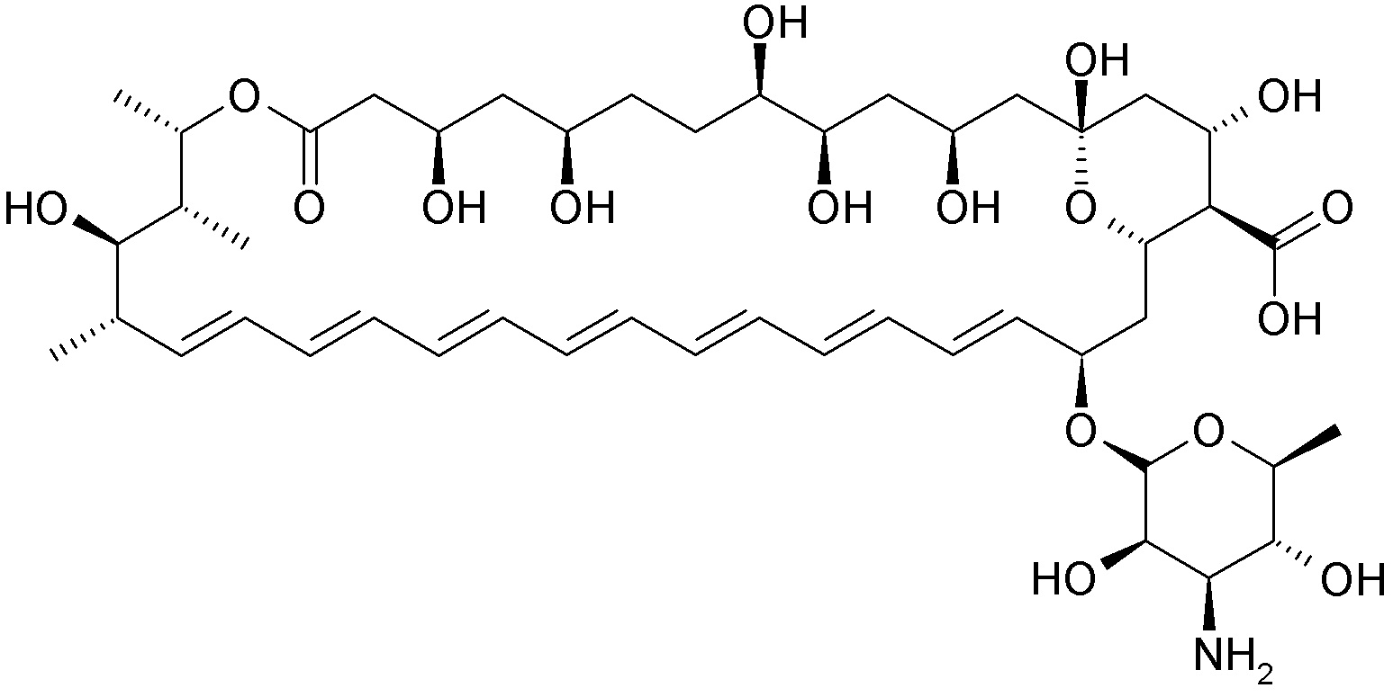
抗真菌药   Amphotericin B  
气雾剂
口服剂 注射液 漱口水 眼药水
制剂的稳定性 混合物稳定性 影响稳定性的因素 兼容性 引用文献 PDF
   化学式  

气雾剂
兼容性   气雾剂   兼容性 : Amphotericin B              
无数据

  Mentions Légales