Последно актуализиране :
27/04/2026
Infostab
Списък с лекарства
Съдържание
Потърсете съвместимост
Таблица за съвместимост на Y-сайта
Библиография
Изследователски екипи
valistab
Плакат
звена
спонсори
Автори
Ръководство за потребителя
Бюлетин
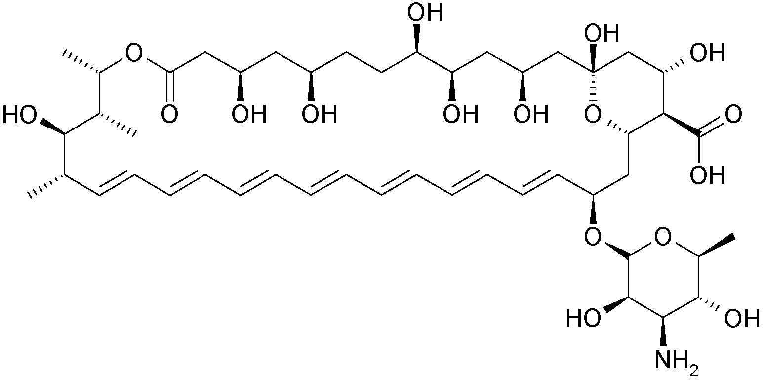
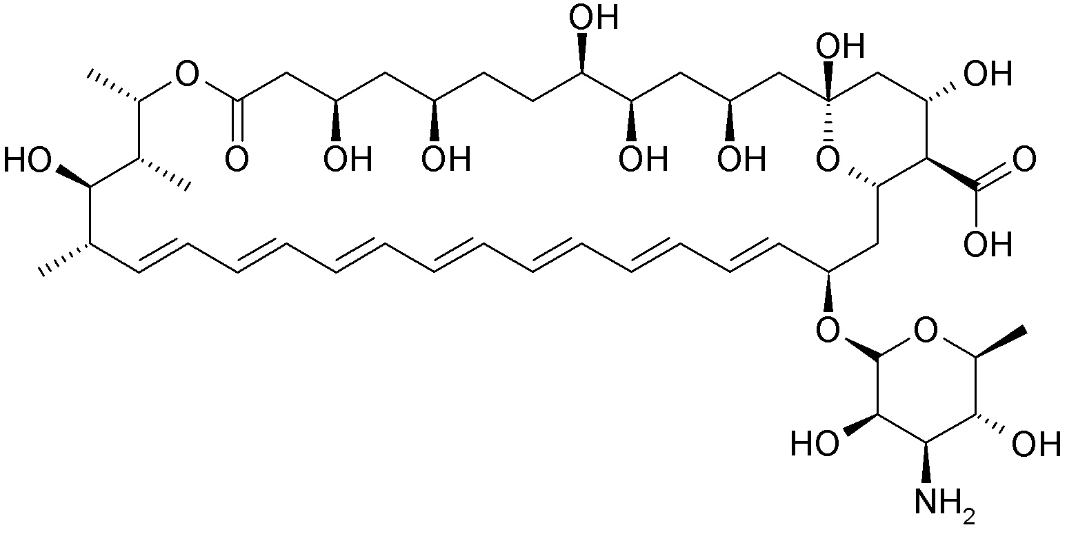
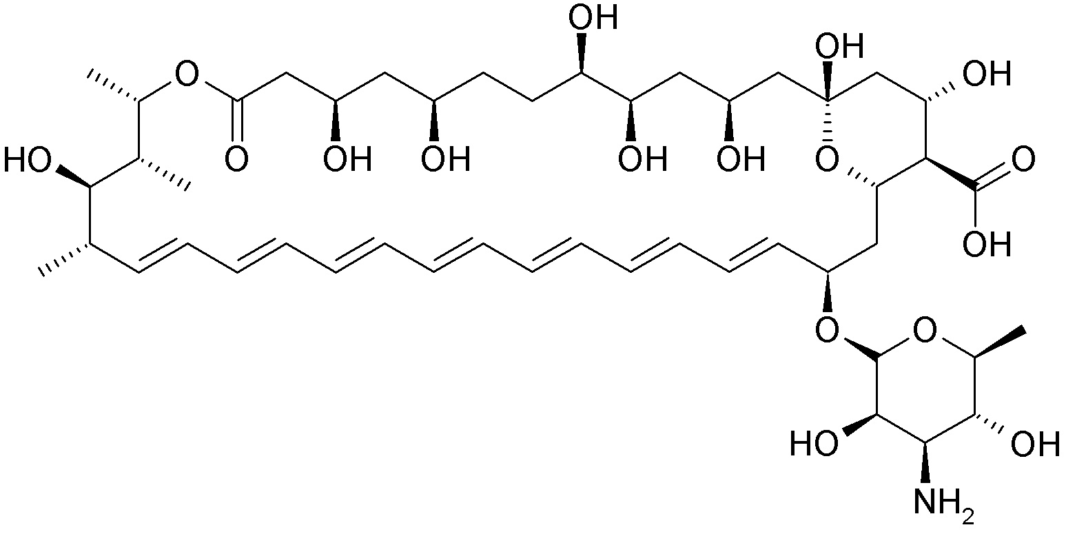
Amphotericin B
Химична структура
Съвместимост : Amphotericin B
Няма данни
Mentions Légales